第十章 第二类曲线积分与第二类曲面积分⚓︎
约 4539 个字 预计阅读时间 23 分钟
Info
- 第一类积分:重积分的积分区域是无向的
- 第二类积分:定积分的积分区域是有向的,所以请关注题目中规定的积分区域方向
第二类曲线积分⚓︎
概念⚓︎
定义:
设 \(\Gamma\) 是以 A, B 为端点的光滑曲线,并指定从 A 到 B 的方向为曲线方向,在 \(\Gamma\) 上每一点 M 处作曲线的单位切矢量:\(\bm{e_T} = \cos{\alpha} \bm{i} + \cos{\beta} \bm{j} + \cos{\gamma} \bm{k}\),方向与指定曲线方向一致 (\(\alpha, \beta, \gamma\) 分别为 \(\bm{e_T}\) 与 Ox 轴、Oy 轴、Oz 轴正向的夹角 ),
又设 \(\bm{A}(M) = P(x, y, z)\bm{i} + Q(x, y, z)\bm{j} + R(x, y, z)\bm{k}\),其中 P, Q, R 为定义在 \(\Gamma\) 上的有界函数,则 \(\bm{A \cdot e_T} = P \cos{\alpha} + Q \cos{\beta} + R \cos{\gamma}\) 在 \(\Gamma\) 上的第一类曲线积分 $$ \int\limits_{\Gamma} \bm{A \cdot e_T} \mathrm{d}s = \int\limits_{\Gamma}(P \cos{\alpha} + Q \cos{\beta} + R\cos{\gamma}) \mathrm{d}s $$
被称为 \(\bm{A}(P)\) 沿 \(\Gamma\) 从 A 到 B 的第二类曲线积分。
注:
- \(\oint\) 表示封闭曲线上的第二类曲线积分
- 第二类曲线积分又被称为对坐标曲线积分
性质:
- \(\int\limits_{\Gamma_{AB}}(\bm{A \cdot e_T}) \mathrm{d}s = - \int\limits_{\Gamma_{BA}}(\bm{A \cdot e_T}) \mathrm{d}s\),若记 \(\Gamma^+ = \Gamma_{AB}, \Gamma^- = \Gamma_{BA}\),则:\(\int\limits_{\Gamma^+}(\bm{A \cdot e_T}) \mathrm{d}s = - \int\limits_{\Gamma^-}(\bm{A \cdot e_T}) \mathrm{d}s\)
- 若 \(\Gamma\) 是由 \(\Gamma_1, \Gamma_2\) 首尾相接而成,则:\(\int\limits_\Gamma(\bm{A \cdot e_T}) \mathrm{d}s = \int\limits_{\Gamma_1}(\bm{A \cdot e_T}) \mathrm{d}s + \int\limits_{\Gamma_2}(\bm{A \cdot e_T}) \mathrm{d}s\)
- \(\int\limits_{\Gamma}[\alpha \bm{F_1}(x, y, z) + \beta \bm{F_2}(x, y, z)] \mathrm{d}\bm{r} = \alpha \int\limits_{\Gamma}\bm{F_1}(x, y, z) \mathrm{d}\bm{r} + \beta \int\limits_{\Gamma}\bm{F_2}(x, y, z) \mathrm{d}\bm{r}\)
记 \(d \bm{s} = \bm{e_T} ds\),被称为曲线的有向弧元。
第二类曲线积分的四种形式:
- \(\int\limits_{\Gamma_{AB}} \bm{A \cdot e_T} \mathrm{d}s\) ( 第二类曲线积分 \(\Rightarrow\) 第一类曲线积分 )
- \(\int\limits_{\Gamma_{AB}} \bm{A} \mathrm{d} \bm{s}\)
- \(\int\limits_{\Gamma_{AB}} (P \cos{\alpha} + Q \cos{\beta} + R \cos{\gamma}) \mathrm{d}s\)
- \(\int\limits_{\Gamma_{AB}} (P\mathrm{d}x + Q\mathrm{d}y + R\mathrm{d}z)\)
⭐定理 1: 设光滑曲线 \(\Gamma_{AB}\) 的方程为 \(\begin{cases}x = x(t) \\ y = y(t) \\ z = z(t)\end{cases}\),点 A, B 对应参数分别为 \(t_A, t_B\),且 \(\bm{A}(x, y, z) = (P(x, y, z), Q(x, y, z), R(x, y, z))\) 的分量 P, Q, R 在 \(\Gamma\) 上连续,则
本质:第二类曲线积分 \(\Rightarrow\) 定积分
格林公式⚓︎
若函数 P, Q 在有界闭区域 \(D \subset R^2\) 上连续且有一阶连续偏导数,则:
其中 \(\Gamma\) 为区域 D 的边界曲线,并取正向。
格林公式的行列式表示法:
本质:第二类曲线积分 \(\Rightarrow\) 二重积分
计算技巧
- 若直接求某条曲线的第二类积分太复杂,可以先补一些直线,形成封闭曲线,然后利用格林公式转化为求二重积分的问题,再计算这些直线上的第二类积分,答案即为封闭曲线的积分 - 所有添补的直线的积分。注意方向的问题,不要搞错符号!
- 令 P = -y,Q = x,可得计算平面区域面积 S的公式:\(S = \dfrac{1}{2}\oint\limits_\Gamma -y\mathrm{d}x + x\mathrm{d}y\)。
- 若要求三维的封闭曲线的第二类积分,用斯托克斯公式
平面曲线积分与路径无关性⚓︎
- 平面单连通区域:没有“洞”的区域——D 内任一封闭曲线所包围的面积均包含于 D 内
- 平面复连通区域:有“洞”的区域
定理 2:设 \(D \subset R^2\) 是平面单连通区域,若函数 P, Q 在区域 D 上连续,且有一阶连续偏导数,则以下 4 个条件等价:
- 沿 D 中任一按段光滑的闭曲线 L,有 \(\oint\limits_L P\mathrm{d}x + Q\mathrm{d}y = 0\)
- 对 D 中任一按段光滑曲线 L,曲线积分 \(\int\limits_L P\mathrm{d}x + Q\mathrm{d}y\) 与路径无关,只与 L 的起点和终点有关
- \(P\mathrm{d}x + Q\mathrm{d}y\) 是 D 内某一函数 u 的全微分,即 \(\mathrm{d}u = P\mathrm{d}x + Q\mathrm{d}y, \dfrac{\partial u}{\partial x} = P, \dfrac{\partial u}{\partial y} = Q\)
- 在 D 内的每一点处,有 \(\dfrac{\partial P}{\partial y} = \dfrac{\partial Q}{\partial x}\)
注
若第二类曲线积分 \(\int_{A(x_0, y_0)}^{B(x_1, y_1)} P(x, y) \mathrm{d}x + Q(x, y) \mathrm{d}y\) 与路径无关,则可用一元函数的定积分表示:
由定理知 u(x, y) 为 \(P \mathrm{d}x + Q \mathrm{d}y\) 的一个原函数,则有:
若 \((0, 0) \in D\),则可简写为:\(\int_0^x P(x, y)\mathrm{d}x + \int_0^yQ(x, y)\mathrm{d}y + C\)
曲线积分的牛顿 - 莱布尼茨公式:若 \(\mathrm{d}u = P\mathrm{d}x + Q\mathrm{d}y\),其中 P, Q 有连续偏导数,则: $$ \int_{A(x_0, y_0)}^{B(x_1, y_1)} P \mathrm{d}x + Q \mathrm{d}y = u(x, y) |_{A(x_0, y_0)}^{B(x_1, y_1)} = u(x_1, y_1) - u(x_0, y_0) $$
解题技巧
若题目给出了轨迹曲线的方程 ( 较为复杂 ) 以及它的起点和终点,若用定理 2 发现路径无关性,则我们可以直接将路径改为曲线起点和终点的连线 ( 直线 ),这样就简化了计算过程。
定理 3:设在复连通区域 D 内,P, Q 具有连续的偏导数且 \(\dfrac{\partial P}{\partial y} \equiv \dfrac{\partial Q}{\partial x}\),则环绕同一些洞的任意两条闭曲线(同向)上的曲线积分都相等。
注意
在求第二类曲线方程前,一定要先判断积分区域上是否有取不到的“洞”( 关注积分内函数的分母部分,常常是 x 或 y 无法取到 0)。若存在这样的洞,根据定理 3,我们需要另外找一个包含该洞的、且能够简化计算的曲线方程 ( 根据积分内函数的特征构造 )。
第二类曲面积分⚓︎
概念⚓︎
定侧曲面:指定法线方向的双侧曲面
定义:
设 S 是光滑有界的定侧曲面,记 S 上的每点 M(x, y, z) 处沿曲面定侧的单位法矢量为:\(\bm{e_n}(M) = \cos{\alpha} \bm{i} + \cos{\beta} \bm{j} + \cos{\gamma} \bm{k}\)
又设 \(\bm{A}(M) = P(x, y, z)\bm{i} + Q(x, y, z)\bm{j} + R(x, y, z)\bm{k},\ (x, y, z)\in S\),其中 P, Q, R 为定义在 S 上的有界函数,则 \(\bm{A \cdot e_n} = P \cos{\alpha} + Q \cos{\beta} + R \cos{\gamma}\) 在 \(\Gamma\) 上的第一类曲面积分 $$ \iint\limits_S \bm{A \cdot e_n} \mathrm{d}S = \iint\limits_{\Gamma}(P \cos{\alpha} + Q \cos{\beta} + R\cos{\gamma}) \mathrm{d}S $$ 被称为\(\bm{A}(P)\)沿定侧曲面S的第二类曲面积分
第二类曲面积分又被称为对坐标曲面积分
方向的规定
- \(\cos \alpha\):> 0 为前侧,< 0 为后侧
- \(\cos \beta\):> 0 为右侧,< 0 为前侧
- \(\cos \gamma\):> 0 为上侧,< 0 为下侧
解题时根据题目规定的方向做,这里的规定仅适用于没有任何规定的情况
性质:
- \(\iint\limits_{S^+}(\bm{A \cdot e_n}) \mathrm{d}S = - \iint\limits_{S^-}(\bm{A \cdot e_n}) \mathrm{d}S\)
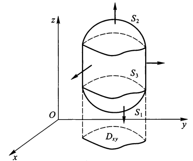
- 若 S 是由两个无公共内点的曲面块 \(S_1, S_2\),且 \(S_1, S_2\) 的侧与 S 的侧一致,则:\(\iint\limits_S(\bm{A \cdot e_n}) \mathrm{d}S = \iint\limits_{S_1}(\bm{A \cdot e_n}) \mathrm{d}S + \iint\limits_{S_2}(\bm{A \cdot e_n}) \mathrm{d}S\)
记 \(d \bm{s} = \bm{e_n} ds\),被称为曲面的有向面积元素。
第二类曲面积分的四种形式:
- \(\iint\limits_{S} \bm{A \cdot e_n} \mathrm{d}S\) ( 第二类曲面积分 \(\Rightarrow\) 第一类曲面积分 )
- \(\iint\limits_S \bm{A} \mathrm{d} \bm{S}\)
- \(\iint\limits_{S} (P \cos{\alpha} + Q \cos{\beta} + R \cos{\gamma}) \mathrm{d}S\)
- \(\iint\limits_S P(x, y, z)\mathrm{d}y\mathrm{d}z + Q(x, y, z)\mathrm{d}z\mathrm{d}x + R(x, y, z)\mathrm{d}x\mathrm{d}y\)
注:第 4 种形式中,若 \(\bm{e_n}\) 改变方向时,它们都要改变符号,与二重积分的面积元素 \(\mathrm{d}x\mathrm{d}y\) 总取正值是不同的。
计算⚓︎
计算方法:
然后分别计算这 3 项:
- \(\iint\limits_S P(x, y, z)\mathrm{d}y\mathrm{d}z = \mathrm{sgn}(\dfrac{\pi}{2} - \alpha) \iint\limits_{\sigma_{yz}} R(x(y, z), y, z)\mathrm{d}\sigma\)
- \(\iint\limits_S Q(x, y, z)\mathrm{d}z\mathrm{d}x = \mathrm{sgn}(\dfrac{\pi}{2} - \beta) \iint\limits_{\sigma_{zx}} R(x, y(x, z), z)\mathrm{d}\sigma\)
- \(\iint\limits_S R(x, y, z)\mathrm{d}x\mathrm{d}y = \mathrm{sgn}(\dfrac{\pi}{2} - \gamma) \iint\limits_{\sigma_{xy}} R(x, y, z(x, y))\mathrm{d}\sigma\)
注:可以利用轮换对称的性质减少计算量。
高斯公式⚓︎
设空间区域 V 由分片光滑的双侧封闭曲面 S 构成,若函数 P, Q, R 在 V 上连续,且有一阶连续偏导数,则 $$ \iiint\limits_V(\dfrac{\partial P}{\partial x} + \dfrac{\partial Q}{\partial y} + \dfrac{\partial R}{\partial z}) \mathrm{d}x\mathrm{d}y\mathrm{d}z = \oiint\limits_S P \mathrm{d}y\mathrm{d}z + Q \mathrm{d}z\mathrm{d}x + R \mathrm{d}x\mathrm{d}y $$ 其中S取外侧。
本质:第二类曲面积分 \(\Rightarrow\) 三重积分
注
- 虽然上面规定 S 取外侧,但是题目可能会取内侧为正侧,需要当心!
- 若 S 为封闭的简单曲面,\(\bm{l}\) 为任何固定方向,则 \(\oiint_S \cos{(\bm{n, l})} \mathrm{d}S = 0\),其中 \(\bm{n}\) 是曲面的法矢量。
解题技巧
- 在计算之前,可以先利用给出的曲面方程,对积分的被积函数进行化简
- 我们可以通过构造的方法,通过增添几个面,使原本不封闭的曲面封闭,然后利用高斯公式求解,最后减去在这多出的几个平面上的积分即可得到要求的结果。
散度场⚓︎
定义:
设 \(\bm{A}(x, y, z) = (P(x, y, z), Q(x, y, z), R(x, y, z))\) 为空间区域 V 上的向量函数,对 V 上的每一点 (x, y, z),称函数 \(\dfrac{\partial P}{\partial x} + \dfrac{\partial Q}{\partial y} + \dfrac{\partial R}{\partial z}\) 为向量函数 \(\bm{A}\) 在点 \(M(x, y, z)\) 处的散度,记作 \(\mathrm{div}\ \bm{A}(x, y, z)\)
则高斯公式可以改写为:\(\iiint\limits_V \mathrm{div}\ \bm{A} \mathrm{d}V = \oiint\limits_S \bm{A} \cdot \mathrm{d}\bm{S}\)
令 V 收缩到点 \(M_0\),得到:\(\mathrm{div}\ \bm{A}(M_0) = \lim\limits_{V \rightarrow M_0} \dfrac{\oiint_S \bm{A} \cdot \mathrm{d}\bm{S}}{\Delta V}\)
散度场:向量场 A 的散度 div A 所构成的数量场
物理意义
假设某一不可压缩流体的流速为向量函数 \(\bm{A}\),经过封闭曲面 \(S\) 的流量是 \(\oiint\limits_S \bf{A}\cdot \mathrm{d}S\),则 \(\mathrm{div}\ \bm{A}\) 表示流量对体积的变化率,称它为 \(\bm{A}\) 在点 \(M_0\) 的流量密度
-
\(\mathrm{div}\ \bm{A}(M_0) > 0\):每一单位时间内有一定数量的流体流出这一点 \(\Rightarrow\) 源
-
\(\mathrm{div}\ \bm{A}(M_0) < 0\):每一单位时间内有一定数量的流体被这一点吸收 \(\Rightarrow\) 汇
-
若对每一点皆有 \(\mathrm{div}\ \bm{A} = 0\),称 \(\bm{A}\) 为无源场
推论:
- 若在封闭曲面 S 所包围的区域 V 中处处有 \(\mathrm{div}\ \bm{A} = 0\),则 \(\oiint_S \bm{A} \cdot \mathrm{d}\bm{S} = 0\)
- 如果仅在区域 V 中某些点(或子区域上)\(\mathrm{div}\ \bm{A} \ne 0\) 或 \(\mathrm{div}\ \bm{A}\) 不存在(下图阴影部分
) ,其他点都有 \(\mathrm{div}\ \bm{A} = 0\),则通过保卫这些点或子区域(被称为“洞”)的 V 内任一封闭曲面积分都是相等的,即是一个常数,有:
其中 \(S_1, S_2\) 是包围散度不等于 0,或不存在的点(或区域)的任意两个封闭曲面,其法线单位矢量向外
注:该结论与上一节路径无关性最后那个定理十分类似
斯托克斯公式、空间曲线积分与路径无关性⚓︎
斯托克斯公式⚓︎
规定双侧曲面 S 的侧与其边界曲线 L 的方向 ( 用右手定则确定 ),如图所示:
定理 4:斯托克斯公式
设光滑曲面 S 的边界 L 是按段光滑的连续曲线,若函数 P, Q, R 在 S( 连同 L) 上连续,且有一阶连续偏导数,则:
其中 S 的侧面与 L 的方向按右手法则确定 ( 见上图 )。
斯托克斯公式的行列式表示法:
斯托克斯公式建立起第二类曲线积分和第二类曲面积分之间的联系
总结
- 求平面曲线的第二类积分 \(\Rightarrow\) 格林公式
- 求空间曲线的第二类积分 \(\Rightarrow\) 斯托克斯公式
空间曲线积分与路径无关性⚓︎
定理 5
设 \(\Omega \subset \mathbf{R}^3\) 为空间线单连通区域,若函数 P, Q, R 在 \(\Omega\) 上连续,且有一阶连续偏导数,则以下四个条件是等价的:
- 对于 \(\Omega\) 内任一按段光滑的封闭曲线 L,有 \(\oint\limits_LP\mathrm{d}x + Q\mathrm{d}y + R\mathrm{d}z = 0\)
- 对于 \(\Omega\) 内任一按断光滑的曲线 \(\Gamma\),曲线积分 \(\oint\limits_LP\mathrm{d}x + Q\mathrm{d}y + R\mathrm{d}z\) 与路径无关,仅与起点、终点有关
- \(P\mathrm{d}x + Q\mathrm{d}y + R\mathrm{d}z\) 是 \(\Omega\) 内某一函数 u(x, y, z) 的全微分,即存在 \(\Omega\) 上的函数 u(x, y, z),使
- \(\dfrac{\partial P}{\partial y} = \dfrac{\partial Q}{\partial x}\), \(\dfrac{\partial Q}{\partial z} = \dfrac{\partial R}{\partial y}\), \(\dfrac{\partial R}{\partial x} = \dfrac{\partial P}{\partial z}\)在\(\Omega\)内处处成立
注:这个定理与平面积分的路径无关性的定理 2 对应
注
- 空间线单连通区域:该空间区域 V 中任意封闭曲线 L 不越过 V 的边界曲面,可连续收缩为 V 中的一点。
- 空间面单连通区域:该空间区域 V 中任意封闭曲面 S 不越过 V 的边界曲面,可连续收缩为 V 中的一点。
一种化简方法
若曲线积分 \(I = \oint\limits_{\Gamma_{AB}}P\mathrm{d}x + Q\mathrm{d}y + R\mathrm{d}z\) 与路径无关,则可以将原路径转化为折线路径,便于计算
此时有:
若曲线积分仍满足上述条件,则:
若 \((0, 0, 0) \in V\),则取 \((x_0, y_0, z_0) = (0, 0, 0)\),使计算方便。
旋度场⚓︎
定义:
设 \(\bm{A}(x, y, z) = (P(x, y, z), Q(x, y, z), R(x, y, z))\) 为空间区域 V 上的向量函数,对 V 上一点 \(M(x, y, z)\) ,定义向量函数 \((\dfrac{\partial R}{\partial y} - \dfrac{\partial Q}{\partial z}, \dfrac{\partial P}{\partial z} - \dfrac{\partial R}{\partial x}, \dfrac{\partial Q}{\partial x} - \dfrac{\partial P}{\partial y})\),称它为向量函数 \(\bm{A}\) 在点 \(M(x, y, z)\) 处的旋度,记作 \(\mathbf{rot}\ \bm{A}\)。
行列式表示法:
设 \(\bf{e}_T\) 是曲线 L 在点 \(M(x, y, z)\) 处于指定的方向一致的单位切向量,向量 \(\mathrm{d}\bm{s} = \bf{e}_T \mathrm{d}s\) 被称为弧长元素向量。
\(\therefore\) 斯托克斯公式の第 3 种表示法:
旋度与坐标系选取的无关性
如图所示:
由斯托克斯公式の第 3 种表示法 + 二重积分的中值定理,可得:
其中上式左端为 \(\mathbf{rot}\ \bm{A}\) 在法线方向上的投影。该式可作为旋度的另一个定义形式。
- 旋度场:由向量函数 \(\bm{A}\) 的旋度 \(\mathbf{rot}\ \bm{A}\) 所定义的向量场
- 沿闭曲线 L 的环流量:\(\oint\limits_L \bm{A} \cdot \mathrm{d}\bm{s}\)
- 无旋场:\(\mathbf{rot}\ \bm{A} = 0\)
物理意义
流体的速度场的旋度的法线投影在曲面上对面积的曲面积分 = 流体在曲面边界上的环流量
向量微分算子⚓︎
向量微分算子 (Nabla 算子或哈密顿算子 ):\(\nabla = \dfrac{\partial}{\partial x}\bm{i} + \dfrac{\partial}{\partial y}\bm{j} + \dfrac{\partial}{\partial z}\bm{k}\)
二阶微分算子:\(\nabla^2 = \dfrac{\partial^2 u}{\partial x^2} + \dfrac{\partial^2 u}{\partial y^2} + \dfrac{\partial^2 u}{\partial z^2}\)
可以用向量微分算子改写上面的式子:
- 高斯公式:\(\iiint\limits_V \nabla \cdot \bm{A} \mathrm{d}V = \oiint\limits_S \bm{A} \cdot \mathrm{d}S\)
- 斯托克斯公式:\(\iint\limits_S (\nabla \times \bm{A}) \cdot \mathrm{d}S = \oint\limits_S \bm{A} \cdot \mathrm{d}s\)
评论区









