Chap 3: Interpolation and Polynomial Approximation⚓︎
约 4995 个字 21 行代码 预计阅读时间 25 分钟
核心知识
- 拉格朗日插值多项式
- Neville 法
- 差商、牛顿插值法
- 埃尔米特插值法
- 三次样条插值法
如果函数 \(y = f(x)\) 的计算过于复杂,或者甚至是未知的,一种近似求解的办法是:首先在一组点序列 \(x_0, \dots, x_n\) 上获取一组函数值 \(y_0 = f(x_0), \dots, y_n = f(x_n)\),然后根据这些值构造一个相对简单的近似函数 \(g(x) \approx f(x)\)。
如果 \(g(x)\) 满足 \(\forall\ i = 0, \dots, n, g(x_i) = f(x_i)\),我们称 \(g(x)\) 为 \(f(x)\) 的插值函数(interpolating function)。最常见的插值函数形式是代数多项式(algebraic polynomials)。
Interpolation and the Lagrange Polynomial⚓︎
目标:找到 \(n\) 阶多项式 \(P_n(x) = a_0 + a_1 x + \dots + a_n x^n\),使得 \(\forall\ i = 0, \dots, n, P_n(x_i) = y_i\)。
注:对任何 \(i \ne j\),必须满足 \(x_i \ne x_j\)
当 \(n = 1\) 时:给定 \(x_0, x_1; y_0, y_1\)。找到 \(P_1(x) = a_0 + a_1 x\),使得 \(P_1(x_0) = y_0, P_1(x_1) = y_1\)。此时 \(P_1(x)\) 是一个经过给定两点 \((x_0, y_0), (x_1, y_1)\) 的线函数(line function),即:
其中标红的项被称为拉格朗日基(Lagrange Basis),它满足:\(L_{1, i}(x_j) = \delta_{ij} = \begin{cases}1 & \text{if } i = j \\ 0 & \text{if } i \ne j\end{cases}\)(称为 Kronecker 符号)
当 \(n \ge 1\) 时:我们要寻找 \(L_{n, i}(x)\ (i = 0, \dots, n)\),使得 \(L_{n, i} (x_j) = \delta_{ij}\)。然后令 \(P_n(x) = \sum\limits_{i=0}^n L_{n, i}(x) y_i\)。因此 \(P_n(x_i) = y_i\)。
每个 \(L_{n, i}\) 都有 \(n\) 个根 \(x_0 \dots \widehat{x_i} \dots x_n\)。可以得到:
当 \(L_{n, i}(x_i) = 1\) 时,\(C_i = \prod\limits_{j \ne i} \dfrac{1}{x_i - x_j}\)
这里的 \(P_n(x)\) 就是n 阶拉格朗日插值多项式(n-th Lagrange interpolating polynomial)。
定理
如果 \(x_0, x_1, \dots, x_n\) 是 \(n + 1\) 个不同的数,且用函数 \(f\) 得到这 \(n + 1\) 个数对应的函数值,那么最终得到的 n 阶多项式就是唯一的(和拉格朗日多项式、牛顿插值法等具体的构造方法无关
证明
(反证法)如果不是唯一的,那么存在两个多项式 \(P_n(x)\) 和 \(Q_n(x)\),它们都满足插值条件。这样我们可以得到一个多项式 \(D(x) = P_n(x) - Q_n(x)\),它的阶数 \(\le n\)。但 \(D(x)\) 有 \(n + 1\) 个不同的根 \(x_0, x_1, \dots, x_n\),这和它的阶数条件矛盾。因此假设不成立,这样就证明了多项式的唯一性。
注
插值多项式不是唯一的,除非它的阶数被约束在不超过 \(n\) 的范围内。
相应的反例就是 \(P(x) = L_n(x) + p(x) \prod\limits_{i=0}^n (x - x_i)\),其中 \(p(x)\) 可以是任意阶数的多项式。
下面我们来分析余项(remainder):假如 \(a \le x_0 < x_1 < \dots < x_n \le b\) 且 \(f \in C^{n+1} [a, b]\)。考虑截断误差 \(R_n(x) = f(x) - P_n(x)\)
罗尔定理
如果 \(\varphi(x)\) 足够平滑,且 \(\varphi(x_0) = \varphi(x_1) = 0\),那么 \(\exists \xi \in (x_0, x_1)\),使得 \(\varphi'(\xi) = 0\)。
一般来说,如果 \(\varphi(x_0) = \varphi(x_1) = \varphi(x_2) = 0\),那么 \(\exists \xi_0 \in (x_0, x_1), \xi_1 \in (x_1, x_2)\),使得 \(\varphi'(\xi_0) = \varphi'(\xi_1) = 0\),那么 \(\exists \xi \in (\xi_0, \xi_1)\),使得 \(\varphi''(\xi) = 0\)
同理,\(\varphi(x_0) = \dots = \varphi(x_n) = 0 \Rightarrow \exists \xi \in (a, b)\),使得 \(\xi^{(n)}(\xi) = 0\)
\(R_n(x)\) 至少有 \(n + 1\) 个根 \(\Rightarrow R_n(x) = K(x) \prod\limits_{i=0}^n (x - x_i)\)
修正任何 \(x \ne x_i\ (i = 0, \dots, n)\)。定义为 \(t \in [a, b]\) 定义函数 \(g\) 为:
\(g(x)\) 有 \(n + 2\) 个不同的根 \(x_0, \dots, x_n, x\ \Rightarrow g^{(n+1)}(\xi_x) = 0, \xi_x \in (a, b)\)
因此 \(R(x) = \dfrac{f^{(n+1)}(\xi_x)}{(n+1)!} \prod\limits_{i=0}^n (x - x_i)\)
注
- 因为大多数情况下 \(\xi_x\) 无法确定,因此我们会获取 \(f^{(n+1)}\) 的上界。也就是说,得到一个估计值 \(M_{n+1}\),满足 \(\forall\ x \in (a, b),\ |f^{(n+1)}(x)| \le M_{n+1}\),并且取 \(\dfrac{M_{n+1}}{(n+1)!} \prod\limits_{i=0}^n |x - x_i|\) 为总误差的上界。
- 对于任意阶数 \(\le n\) 的多项式函数 \(f\),插值多项式是精确的,因为 \(f^{(n+1)}(x) \equiv 0\)。
例子
假设为 \(f(x) = e^x\ (x \in [0, 1])\) 做一个表格,表格中的每一项精确到 8 位小数,并且步幅为 \(h\)。对于绝对误差不超过 \(10^{-6}\) 的线性插值,\(h\) 应该是多少?
假设 \([0, 1]\) 被划分为 \(n\) 个等间距的子区间 \([x_0, x_1], [x_1, x_2], \dots, [x_{n-1}, x_n]\),且 \(x\) 在区间 \([x_k, x_{k+1}]\) 上。那么估计误差为:
\(\dfrac{eh^2}{8} \le 10^{-6} \quad \Rightarrow \quad h \le 1.72 \times 10^{-3}\)
方便起见,我们就取 \(n = 1000, h = 0.001\) 好了。
给定 \(\sin \dfrac{\pi}{6} = \dfrac{1}{2}, \sin \dfrac{\pi}{4} = \dfrac{1}{\sqrt{2}}, \sin \dfrac{\pi}{3} = \dfrac{\sqrt{3}}{2}\)。使用关于 \(\sin x\) 的线形和二次拉格朗日多项式,计算 \(\sin 50 \degree\) 并评估误差。
(已知 \(\sin 50 \degree = 0.7660444...\))
-
先使用 \(x_0, x_1\) 和 \(x_1, x_2\) 计算线形插值。
- 使用 \(x_0 = \dfrac{\pi}{6}, x_1 = \dfrac{\pi}{4}\)
- \(P_1(x) = \dfrac{x - \frac{\pi}{4}}{\frac{\pi}{6} - \frac{\pi}{4}} \times \dfrac{1}{2} + \dfrac{x - \frac{\pi}{6}}{\frac{\pi}{4} - \frac{\pi}{6}} \times \dfrac{1}{\sqrt{2}}\)
- \(50 \degree = \dfrac{5\pi}{18}\)
- \(\sin 50 \degree \approx P_1(\dfrac{5 \pi}{18}) \approx 0.77614\)
- \(f(x) = \sin x, f^{(2)} = - sin \xi_x, \xi_x \in (\dfrac{\pi}{6}), \dfrac{\pi}{3}\),且 \(\dfrac{1}{2} < \sin \xi_x < \dfrac{\sqrt{3}}{2}\)
- \(R_1 (x) = \dfrac{f^{(2)(\xi_x)}}{2!}(x - \dfrac{\pi}{6})(x - \dfrac{\pi}{4})\),得到 \(-0.01319 < R_1(\dfrac{5\pi}{18}) < -0.00762\),因此外推误差 \(\approx -0.01001\)
- 使用 \(x_1 = \dfrac{\pi}{4}, x_2 = \dfrac{\pi}{3}\)
- 计算得到 \(\sin 50 \degree \approx 0.76008, 0.00538 < \widetilde{R_1}(\dfrac{5\pi}{18}) < 0.00660\)
- 因此插值误差 \(\approx 0.00596\)
外推 v.s. 插值
- 外推(extrapolation):在已知数据点范围之外,估计或预测未知数据点的值。
- 插值(interpolation):在已知数据点范围之内,估计或预测未知数据点的值。
由于 \(\dfrac{\pi}{6} < \dfrac{\pi}{4} < 50 \degree < \dfrac{\pi}{3}\),因此使用 \(x_0, x_1\) 属于外推,而 \(x_1, x_2\) 属于插值。一般而言,插值效果优于外推。
- 使用 \(x_0 = \dfrac{\pi}{6}, x_1 = \dfrac{\pi}{4}\)
-
再使用 \(x_0, x_1, x_2\) 计算二次插值。
- \(P_2(x) = \frac{(x - \frac{\pi}{4})(x - \frac{\pi}{3})}{(\frac{\pi}{6} - \frac{\pi}{4})(\frac{\pi}{6} - \frac{\pi}{2})} \times \dfrac{1}{2} + \frac{(x - \frac{\pi}{6})(x - \frac{\pi}{3})}{(\frac{\pi}{4} - \frac{\pi}{6})(\frac{\pi}{4} - \frac{\pi}{3})} \times \dfrac{1}{\sqrt{2}} + \frac{(x - \frac{\pi}{6})(x - \frac{\pi}{4})}{(\frac{\pi}{3} - \frac{\pi}{6})(\frac{\pi}{3} - \frac{\pi}{4})} \times \dfrac{\sqrt{3}}{2}\)
- \(\sin 50 \degree \approx P_2(\dfrac{5\pi}{18}) \approx 0.76543\)
- \(R_2(x) = \dfrac{- \cos \xi_x}{3!}(x - \dfrac{\pi}{6})(x - \dfrac{\pi}{4})(x - \dfrac{\pi}{3}),\ \dfrac{1}{2} < \cos \xi_x < \dfrac{\sqrt{3}}{2}\)
- \(0.00044 < R_2(\dfrac{5 \pi}{18}) < 0.00077\),所以二次插值的误差 \(\approx 0.00061\)
注
看起来更高次的插值法通常会带来更好的结果,但并不总是如此。
Neville's Method⚓︎
拉格朗日多项式的缺陷
如果发现当前拉格朗日多项式的精度不够,那我们就会考虑更多的插值点。但这样的话我们就得从头开始计算拉格朗日基,前面的工作都浪费掉了。
而接下来介绍的 Neville 法就能利用之前算好的插值多项式继续计算,无需重复计算。
定义
令 \(f\) 是关于 \(x_0, x_1, \dots, x_n\) 的函数,并假设 \(m_1, \dots, m_k\) 是 \(k\) 个不同的整数且满足 \(\forall i, 0 \le m_i \le n\)。拉格朗日多项式在 \(k\) 个点 \(x_{m_1}, \dots, x_{m_k}\) 上与 \(f(x)\) 具有相同值时,记作 \(P_{m_1, \dots, m_k}(x)\)。
定理
令 \(f\) 是关于 \(x_0, x_1, \dots, x_k\) 的函数,并令 \(x_i, x_j\) 为其中两个不相等的数,那么:
描述了在 \(k+1\) 个点 \(x_0, x_1, \dots, x_k\) 上向 \(f\) 插值的第 \(k\) 个拉格朗日多项式。
证明
- 对任意 \(0 \le r \le k\) 且 \(r \ne i \text{ and } j\),两个在分子上插值多项式等于 \(f(x_r)\),因此 \(P(x_r) = f(x_r)\)
- 第一个在分子上的多项式等于 \(f(x_i)\),且第二项为 0,所以 \(P(x_i) = f(x_i)\)。同理,\(P(x_j) = f(x_j)\)
- 因此,在 \(k+1\) 个点 \(x_0, x_1, \dots, x_k\) 上向 \(f\) 插值的第 \(k\) 个拉格朗日多项式是唯一的
上述定理表明插值多项式可以递归生成。比如,它们可以以下表所示的方式,一行行地生成插值多项式:
上述过程被称为 Neville 法。但 \(P\) 的记号显得过于笨重(一堆下标表示参与到多项式中的插值点
而上面定理给出的递推公式可以转化为:
观察发现,求上面表格某一项的值时,我们会用到其左侧和左上角的两个项。
算法:Neville 迭代插值
求解对于数 \(x\),在 \(n+1\) 个不同的数 \(x_0, \dots, x_n\) 上的函数 \(f\) 的插值多项式 \(P\)。
- 输入:数 \(x_0, x_1, \dots, x_n\);值 \(f(x_0), f(x_1), \dots, f(x_n)\),分别作为 \(Q\) 的第 1 列 \(Q_{0, 0}, Q_{1, 0}, \dots, Q_{n, 0}\) 上的值。
- 输出:表 \(Q\),其中 \(P(x) = Q_{n, n}\)
Divided Difference⚓︎
Divided differences is a recursive division process. Given a sequence of data points \((x_0,y_0),\dots,(x_n,y_n)\), the method calculates the coefficients of the interpolation polynomial of these points in the Newton form. -- Wikipedia
- 1 阶差商:\(f[x_i, x_j] = \dfrac{f(x_i) - f(x_j)}{x_i - x_j} (i \ne j, x_i \ne x_j)\)
- 2 阶差商:\(f[x_i, x_j, x_k] = \dfrac{f[x_i, x_j] - f[x_j, x_k]}{x_i - x_k} (i \ne k, x_i \ne x_k)\)
-
\(k+1\) 阶差商:
\[ \begin{align} f[x_0, \dots, x_{k+1}] & = \dfrac{f[\textcolor{cornflowerblue}{x_0}, x_1, \dots, x_k] - f[x_1, \dots, x_k, \textcolor{cornflowerblue}{x_{k+1}}]}{\textcolor{cornflowerblue}{x_0 - x_{k+1}}} \notag \\ & = \dfrac{f[x_0, \dots, x_{k-1}, \textcolor{cornflowerblue}{x_k}] - f[x_0, \dots, x_{k-1}, \textcolor{cornflowerblue}{x_{k+1}}]}{\textcolor{cornflowerblue}{x_k - x_{k+1}}} \notag \end{align} \]
事实上,\(f[x_0, \dots, x_k] = \sum\limits_{i=0}^k \dfrac{f(x_i)}{\omega_{k+1}' (x_i)}\),其中 \(\omega_{k+1}(x) = \prod\limits_{i=0}^k (x - x_i), \omega_{k+1}'(x_i) = \prod\limits_{\substack{j = 0 \\ j \ne i}}^k (x_i - x_j)\)。这个公式的要点在于:\(f[x_0, \dots, x_k]\) 的值和 \(x_0, \dots, x_k\) 的顺序无关。
Newton's Interpolation⚓︎
目标:得到 \(N_n(x) = a_0 + a_1(x - x_0) + a_2(x - x_0)(x - x_1) + \dots + a_n(x - x_0) \dots (x - x_{n-1})\)
我们将 1 阶差商、2 阶差商、...、\(k+1\) 阶差商展开,得到:
计算 \((1) + (x - x_0) \times (2) + \dots + (x - x_0) \dots (x - x_{n-1}) \times (n-1)\),得到:
其中红色部分就是我们要求的 \(N_n(x)\) ,而绿色部分是 \(R_n(x)\)。所以,\(a_i = f[x_0, \dots, x_i]\)
算法:牛顿插值差商公式
求得对于数 \(x\),在 \(n+1\) 个不同的数 \(x_0, \dots, x_n\) 上的函数 \(f\) 的插值多项式 \(P\) 的差商系数。
- 输入:数 \(x_0, x_1, \dots, x_n\);值 \(f(x_0), f(x_1), \dots, f(x_n)\),分别记作 \(F_{0, 0}, F_{1, 0}, \dots, F_{n,0}\)。
- 输出:数 \(F_{0, 0}, F_{1, 1}, F_{n, n}\),其中 \(P(x) = \sum\limits_{i=0}^n F_{i, i} \prod_{j=0}^{i-1} (x - x_j)\)
注
- 因为第 n 个插值多项式是唯一的,所以 \(N_n(x) \equiv P_n(x)\)
-
它们必须有相同的截断误差,即:
\[ \begin{align} & f[x, x_0, \dots, x_n] \omega_{k+1} (x) = \dfrac{f^{(n+1)}(\xi_x)}{(n+1)!} \omega_{k+1}(x) \notag \\ & \Rightarrow f[x_0, \dots, x_k] = \dfrac{f^{(k)}(\xi)}{k!}, \xi \in (x_{\text{min}}, x_{\text{max}}) \notag \end{align} \] -
牛顿插值法的求解过程和 Neville 法类似:
\[ \begin{matrix} f(x_0) & & & & & \notag \\ f(x_1) & f[x_0, x_1] & & & & \notag \\ f(x_2) & f[x_1, x_2] & f[x_0, x_1, x_2] & & & \notag \\ \dots & \dots & \dots & & & \notag \\ f(x_{n-1}) & \dots & \dots & & & \notag \\ f(x_n) & f[x_{n-1}, x_n] & f[x_{n-2}, x_{n-1}, x_n] & & f[x_0, \dots, x_n] \notag \\ f(x_{n+1}) & f[x_n, x_{n+1}] & f[x_{n-1}, x_n x_{n+1}] & \dots & f[x_1, \dots, x_{n+1}] & f[x_0, \dots, x_{n+1}] \notag \end{matrix} \]
Formulae with Equal Spacing⚓︎
如果这些点是等间距的,即 \(x_i = x_0 + ih\ (i = 0, \dots, n)\),那么:
- 前向差(forward difference):\(\Delta f_i = f_{i+1} - f_i, \Delta^k f_i = \Delta(\Delta^{k-1} f_i) = \Delta^{k-1} f_{i+1} - \Delta^{k-1} f_i\)
- 后向差(backward difference)::\(\nabla f_i = f_i - f_{i-1}, \nabla^k f_i = \nabla(\nabla^{k-1} f_i) = \nabla^{k-1} f_i - \nabla^{k-1} f_{i-1}\)
- 中心差(centered difference):\(\delta^k f_i = \delta^{k-1} f_{i+\frac{1}{2}} - \delta^{k-1} f_{i - \frac{1}{2}}\),其中 \(f_{i \pm \frac{1}{2}} = f(x_i \pm \dfrac{h}{2})\)
Some Important Properties⚓︎
- 线性:\(\Delta(a \cdot f(x) + b \cdot g(x)) = a \Delta f + b \Delta g\)
- 如果 \(f(x)\) 是一个 \(m\) 阶多项式,那么 \(\Delta^k f(x)\ (0 \le k \le m)\) 是一个 \(m - k\) 阶多项式且 \(\Delta^k f(x) = 0\ (k > m)\)
-
差值还能从以下函数中得到:
- \(\Delta^n f_k = \sum\limits_{j=0}^n (-1)^j \left( \begin{array}{cccc}n \\ j\end{array}\right) f_{n+k-j}\)
- \(\nabla^n f_k = \sum\limits_{j=0}^n (-1)^{n-j} \left( \begin{array}{cccc}n \\ j\end{array}\right) f_{k+j-n}\)
-
反之亦然:\(f_{n+k} = \sum\limits_{j=0}^n \left( \begin{array}{cccc}n \\ j\end{array}\right) \Delta^j f_k\)
- \(f[x_0, \dots, x_k] = \dfrac{\Delta^k f_0}{k! h^k}, f[x_n, x_{n-1}, \dots, x_{n-k}] = \dfrac{\nabla^k f_n}{k!h^k}\)。从 \(R_n\) 可以得到:\(f^{(k)}(\xi) = \dfrac{\Delta^k f_0}{h^k}\)
总结
-
牛顿前向差公式(Newton forward-difference formula):令 \(x = x_0 + th\),那么
\[ \begin{align} N_n(x) & = N_n(x_0 + th) = \sum\limits_{k=0}^n \left( \begin{array}{cccc}t \\ k\end{array}\right) \Delta^k f(x_0), \notag \\ & = f(x_0) + t \Delta f(x_0) + \dfrac{t(t-1)}{2!} \Delta^2 f(x_0) + \dots + \dfrac{t(t-1) \dots (t-n+1)}{n!} \Delta^n f(x_0) \notag \\ R_n(x) & = \dfrac{f^{(n+1)} (\xi)}{(n+1)!} t(t-1) \dots (t-n)h^{n+1}, \xi \in (x_0, x_n) \notag \end{align} \] -
牛顿后向差公式(Newton backward-difference formula):颠倒点的顺序,即计算 \(N_n(x) = f(x_n) + f[x_n, x_{n-1}](x - x_n) + \dots + f[x_n, \dots, x_0](x - x_n) \dots (x - x_1)\)。令 \(x = x_n + th\),那么
\[ \begin{align} N_n(x) & = N_n(x_n + th) = \sum\limits_{k=0}^n \underbrace{(-1)^k \left( \begin{array}{cccc}-t \\ k\end{array}\right)}_{C_{t+k-1}^k} \nabla^k f(x_n) \notag \\ & = f(x_n) + t \nabla f(x_n) + \dfrac{t(t+1)}{2!} \nabla^2 f(x_n) + \dots + \dfrac{t(t+1) \dots (t+n-1)}{n!} \nabla^n f(x_n) \notag \end{align} \]
Hermite Interpolation⚓︎
密切多项式
令 \(x_0, x_1, \dots, x_n\) 为在 \([a, b]\) 上的 \(n+1\) 个不同的数,\(m_i\) 是和 \(x_i\) 关联的非负整数(\(i = 0, \dots, n\)
相比前面提到的插值多项式,密切多项式还要求k 阶导数相等,因而得到了更准确、更光滑的插值曲线。
目标:找到一个密切多项式 \(P(x)\),使得 \(\forall i = 0, 1, \dots, n, P(x_i) = f(x_i), P'(x_i) = f'(x_i), \dots, P^{(m_i)}(x_i) = f^{(m_i)}(x_i)\)。
注
- 给定 \(N\) 个条件(即有 \(N\) 个方程
) ,\(N - 1\) 阶多项式就能确定下来 -
与 \(f\) 以及所有在一个点 \(x_0\) 上的 \(\le m_0\) 阶的导数吻合的密切多项式就是一个泰勒多项式:
\[ P(x) = f(x_0) + f'(x_0)(x - x_0) + \dots + \dfrac{f^{(m_0)}(x_0)}{m_0!}(x - x_0)^{m_0} \]且余项 \(R(x) = f(x) - \varphi(x) = \dfrac{f^{(m_0 + 1)}(\xi)}{(m_0 + 1)!}(x - x_0)^{(m_0 + 1)}\)
-
当 \(\forall i = 0, 1, \dots, n,\ m_i = 1\) 时,此时的多项式为埃尔米特多项式(Hermite polynomials)
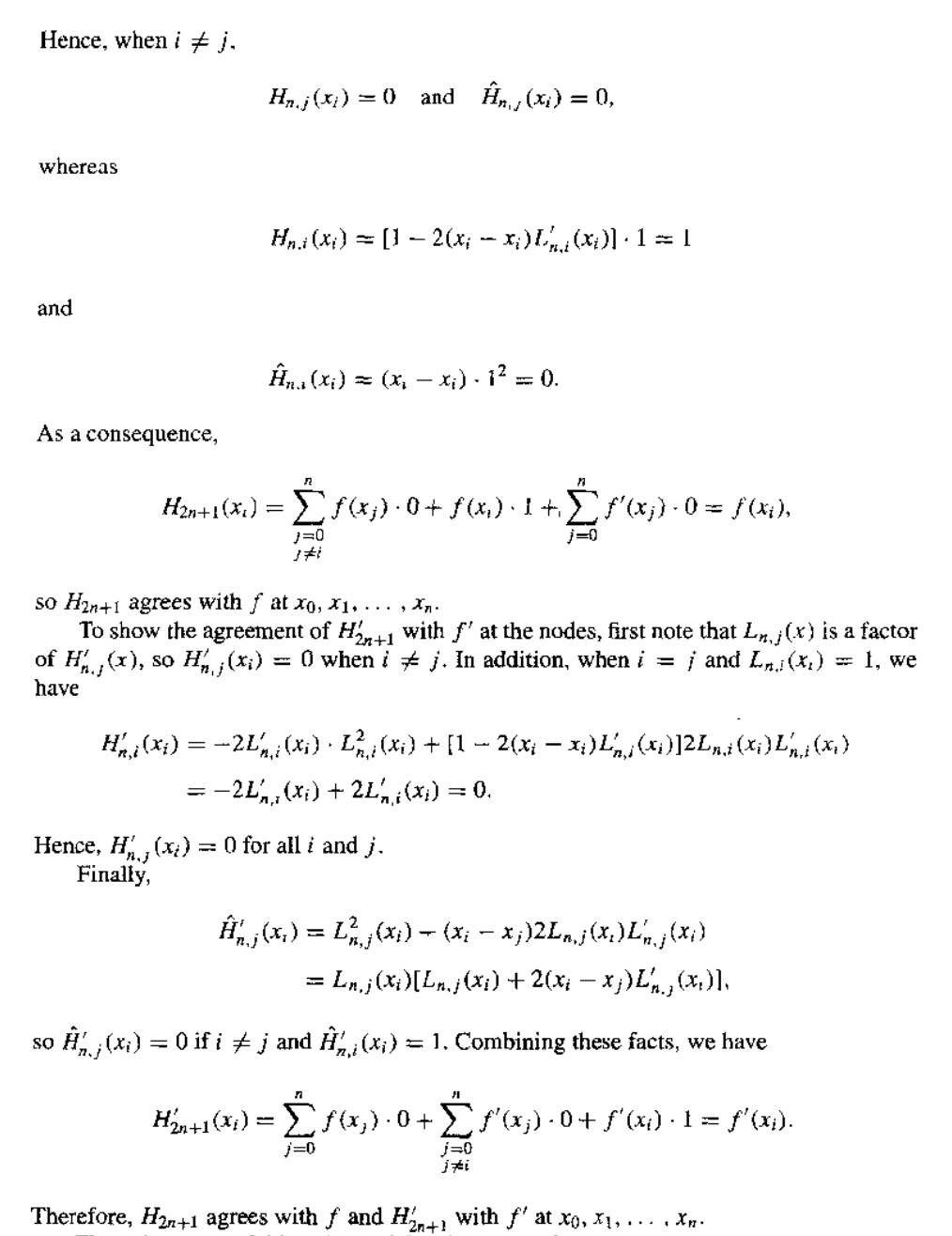
一般情况下,给定 \(x_0, \dots, x_n; y_0, \dots, y_n\) 以及 \(y_0', \dots, y_n'\),埃尔米特多项式 \(H_{2n+1}(x)\) 满足对于所有的 \(i\),\(H_{2n+1}(x_i) = y_i\) 且 \(H_{2n+1}'(x_i) = y_i'\)
用待定系数法求解埃尔米特多项式
令 \(H_{2n+1}(x) = \sum\limits_{i=0}^n y_i h_i(x) + \sum\limits_{i=0}^n y_i' \widehat{h_i}(x)\),其中 \(h_i(x_j) = \delta_{ij}, h_i'(x_j) = 0, \widehat{h_i}(x_j) = 0, \widehat{h_i}'(x_j) = \delta_{ij}\)
- \(h_i(x)\):对应函数值 \(y_i\)
- \(x_0, \dots, \widehat{x_i}, \dots, x_n\) 是重数为 2 的根 \(\Rightarrow\ h_i(x) = (A_i x + B_i) L_{n, i}^2(x)\)
- \(A_i, B_i\) 能通过 \(h_i(x_i) = 1, h_i'(x_i) = 0\) 求解
- \(h_i(x) = [1 - 2L_{n, i}'(x_i)(x - x_i)L_{n, i}^2(x)]\)
- \(\widehat{h_i}(x)\):对应导数值 \(y_i'\)
- 除了 \(x_i\) 外,所有的根 \(x_0, \dots, x_n\) 的重数均为 2,得到:
- \(\begin{cases}\widehat{h_i}(x) = C_i(x - x_i) L_{n, i}^2(x) \\ \widehat{h_i}'(x_i) = 1 \Rightarrow C_i = 1\end{cases} \quad \Rightarrow \quad \widehat{h_i}(x) = (x - x_i) L_{n, i}^2(x)\)
如果 \(a = x_0 < x_1 < \dots < x_n = b, f \in C^{2n}[a, b]\),那么 \(R_n(x) = \dfrac{f^{(2n+2)}(\xi_x)}{(2n+2)!}\Big[\prod\limits_{i=0}^n (x - x_i) \Big]^2\)
例子
假设 \(x_0 \ne x_1 \ne x_2\)。给定 \(f(x_0), f(x_1), f(x_2)\) 和 \(f'(x_1)\),寻找多项式 \(P(x)\),满足 \(P(x_i) = f(x_i),\ i = 0, 1, 2\),且 \(P'(x_1) = f'(x_1)\)。并分析误差。
首先,\(P(x)\) 的阶必须 \(\le 3\)(本题给出 4 个条件(3 个函数值 + 1 个导数值
与拉格朗日多项式类似,我们假设埃尔米特多项式的形式为:\(P_3(x) = \sum\limits_{i=0}^2 f(x_i) h_i(x) + f'(x_1) \widehat{h_1}(x)\)。接着根据已知条件,用待定系数法可以得到:
- \(h_0(x)\):有根 \(x_1, x_2\),且 \(h_0'(x_1) = 0 \quad \Rightarrow \quad x_1\) 是一个重根
- \(\begin{cases}h_0(x) = C_0(x - x_1)^2(x - x_2) \\ h_0(x_0) = 1 \Rightarrow C_0\end{cases} \quad \Rightarrow \quad h_0(x) = \dfrac{(x - x_1)^2(x - x_2)}{(x_0 - x_1)^2(x_0 - x_2)}\)
- \(h_2(x)\):与 \(h_0(x)\) 类似
- \(h_1(x)\):有根 \(x_0, x_2 \Rightarrow h_1(x) = (Ax + B)(x - x_0)(x - x_2)\)。\(A, B\) 可通过 \(h_1(x_1) = 0\) 和 \(h_1'(x_1) = 0\) 求解
- \(\widehat{h_1}(x)\):有根 \(x_0, x_1, x_2 \Rightarrow \widehat{h_1}(x) = C_1(x - x_0)(x - x_1)(x - x_2)\)。\(h_1(x_1) = 1 \Rightarrow C_1\) 能被求解
其误差分析类似拉格朗日误差分析:
根据已知条件,可以得到:
下面按照从易到难的顺序求解这 3 个未知量:
- 求解 \(h_1(x)\)
- 由条件知,\(x = 1\) 是二重根
- 那么可以令 \(h_1(x) = C(x - 1)^2\)
- 再利用剩下那个条件,代进去计算,解得 \(C = 1\)
- 所以 \(h_1(x) = (x - 1)^2\)
- 求解 \(\widehat{h_0}(x)\)
- 由条件知,\(x = 1, x = 2\) 均为该函数的根
- 那么可以令 \(\widehat{h_0}(x) = C(x - 1)(x - 2)\)
- 利用剩下的导数条件(需要先对 \(\widehat{h_0}(x)\) 求导
) ,解得 \(C = -1\) - 所以 \(\widehat{h_0}(x) = -(x - 1)(x - 2)\)
- 求解 \(h_0(x)\)
- 由于根据已知条件只能确定 \(x = 2\) 是其中一根,另一根未知,所以只好假设 \(h_0(x) = ax^2 + bx + c\)
- 将三个条件代进去,得到三元一次方程,解得 \(a = -1, b = 2, c = 0\)
- 所以 \(h_0(x) = -x^2 + 2x = x(2 - x)\)
定理
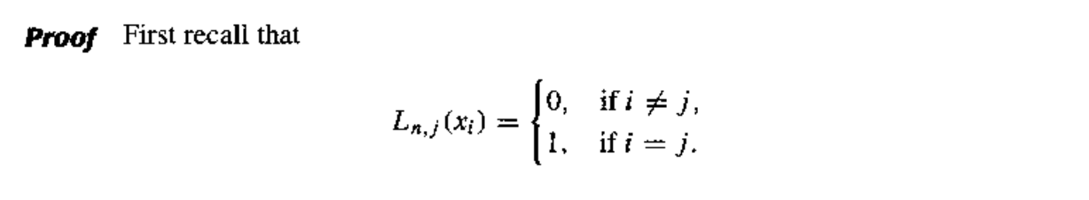
如果 \(f \in C^1[a, b]\) 且 \(x_0, \dots, x_n \in [a, b]\) 是不同的数,那么在函数 \(f\) 及其导数 \(f'\) 一致的最小次数唯一多项式即为次数不超过 \(2n+1\) 的埃尔米特多项式:
其中 \(H_{n,j} = [1 - 2(x - x_j) L'_{n,j}(x_j)]L_{n,j}^2(x)\),\(\widehat{H}_{n,j}(x) = (x - x_j) L^2_{n,j}(x)\)。在这里,\(L_{n,j}(x)\) 指代的是 \(n\) 阶多项式中第 \(j\) 个拉格朗日系数。
另外,若 \(f \in C^{2n-2}[a, b]\),那么
\(\xi\) 为某个满足 \(a < \xi < b\) 的数。
算法:埃尔米特插值
求得在 \(n+1\) 个不同的数 \(x_0, \dots, x_n\) 上的函数 \(f\) 的埃尔米特插值多项式 \(H(x)\) 的系数。
- 输入:数 \(x_0, x_1, \dots, x_n\);值 \(f(x_0), f(x_1), \dots, f(x_n)\) 以及 \(f'(x_0), \dots, f'(x_n)\)
-
输出:数 \(Q_{0,0}, Q_{1, 1}, \dots, Q_{2n+1, 2n+1}\),其中
\[ \begin{align} H(x) = & Q_{0,0} + Q_{1,1}(x - x_0) + Q_{2,2}(x - x_0)^2 + Q_{3,3}(x - x_0)^2(x - x_1) \notag \\ & + Q_{4,4}(x - x_0)^2(x - x_1)^2 + \dots \notag \\ & + Q_{2n+1, 2n+1}(x - x_0)^2(x - x_1)^2 \dots (x - x_{n-1})^2(x - x_n) \notag \end{align} \]
Step 1 for i = 1, 2, ..., n do Step 2 and 3:
Step 2 Set z[2*i] = x[i];
z[2*i+1] = x[i];
Q[2*i][0] = f(x[i]);
Q[2*i+1][0] = f(x[i]);
Q[2*i+1][1] = f`(x[i]);
Step 3 if i != 0 then set Q[2*i][1] = (Q[2*i][0] - Q[2*i-1][0]) / (z[2*i] - z[2*i-1]);
Step 4 for i = 2, 3, ..., 2*n+1:
for j = 2, 3, ..., i set Q[i][j] = (Q[i][j-1] - Q[i-1][j-1]) / (z[i] - z[i-j]);
Step 5 Output(Q[0][0], Q[1][1], ..., Q[2*n+1][2*n+1]);
STOP.
Cubic Spline Interpolation⚓︎
例子
考虑关于函数 \(f(x) = \dfrac{1}{1 + x^2}\) 在点 \(x_i = -5 + \dfrac{10}{n}i \in [-5, 5] \ (i = 0, \dots, n)\) 的拉格朗日多项式 \(P_n(x)\)
可以看到,我们无法用多项式(这些彩色曲线)较为准确地近似函数(黑色曲线
一些尝试
思路:在每个子区间 \([x_i, x_{i+1}]\) 上,通过线性多项式近似表示 \(f(x)\),即:
令 \(h = \max |x_{i+1} - x_i|\),那么 \(P_1^h(x) \xrightarrow{\text{uniform}} f(x), h \rightarrow 0\)
缺点:不够平滑
思路:给定 \(x_0, \dots, x_n;\ y_0, \dots, y_n;\ y_0', \dots, y_n'\),在区间 \([x_i, x_{i+1}]\) 的两个端点上构造一个关于 \(y, y'\) 的 3 阶埃尔米特多项式
缺点:计算导数不太容易
这里介绍一种更好的方法:三次样条插值(cubic spline interpolation)。
wiki:样条
定义
给定一个定义在 \([a, b]\) 上的函数 \(f\),以及一组节点 \(a = x_0 < x_1 \dots < x_n = b\),关于 \(f\) 的三次样条插值器(cubic spline interpolant) \(S\) 是一个满足下面条件的函数:
- \(S(x)\) 是一个分段函数,在每个子区间 \([x_i, x_{i+1}]\) 上是一个三次多项式 \(S_i(x)\)(\(i = 0, 1, \dots, n - 1\))
- \(S(x_i) = f(x_i),\ i = 0, 1, \dots, n\)
- \(S_{i+1}(x_{i+1}) = S_i(x_{i+1}),\ i = 0, 1, \dots, n - 2\)
- \(S_{i+1}'(x_{i+1}) = S_i'(x_{i+1}),\ i = 0, 1, \dots, n - 2\)
- \(S_{i+1}''(x_{i+1}) = S_i''(x_{i+1}),\ i = 0, 1, \dots, n - 2\)
后面三个条件确保了三次样条插值的光滑性。
Method of Bending Moment⚓︎
令 \(h_j = x_j - x_{j-1}\) 且 对于 \(x \in [x_{j-1}, x_j],\ S(x) = S_j(x)\)(\(S_j(x)\) 是 3 阶多项式
假设 \(S_j''(x_{j-1}) = M_{j-1}, S_j''(x_j) = M_j\)(弯矩(bending moment)
对 \(S_j''\) 积分,可以得到:
- \(S_j'(x) = -M_{j-1} \dfrac{(x_j - x)^2}{2h_j} + M_{j-1} \dfrac{(x - x_{j-1})^2}{2h_j} + A_j\)
- \(S_j(x) = M_{j-1} \dfrac{(x_j - x)^3}{6h_j} + M_{j-1} \dfrac{(x - x_{j-1})^3}{6h_j} + A_jx + B_j\)
其中 \(A_j, B_j\) 能通过方程 \(S_j(x_{j-1}) = y_{j-1}, S_j(x_j) = y_j\) 求解。可以得到:
- \(A_j = \dfrac{y_j - y_{j-1}}{h_j} - \dfrac{M_j - M_{j-1}}{6}h_j\)
- \(A_j x + B_j = (y_{j-1} - \dfrac{M_{j-1}}{6} h_j^2) \dfrac{x_j - x}{h_j} + (y_j - \dfrac{M_j}{6}h_j^2)\dfrac{x - x_{j-1}}{h_j}\)
现在我们来求解 \(M_j\):因为 \(S'\) 在 \(x_j\) 上是连续的,所以:
- \([x_{j-1}, x_j]\): \(S_j'(x) = -M_{j-1} \dfrac{(x_j - x)^2}{2h_j} + M_j \dfrac{(x - x_{j-1})^2}{2h_j} + f[x_{j-1}, x_j] - \dfrac{M_j - M_{j-1}}{6}h_j\)
- \([x_j, x_{j+1}]\): \(S_{j+1}'(x) = -M_j \dfrac{(x_{j+1} - x)^2}{2h_{j+1}} + M_{j+1} \dfrac{(x - x_j)^2}{2h_{j+1}} + f[x_j, x_{j+1}] - \dfrac{M_{j+1} - M_j}{6}h_{j+1}\)
根据 \(S_j'(x_j) = S_{j+1}'(x_j)\),我们可以结合 \(M_{j-1}, M_j, M_{j+1}\) 的系数——定义 \(\lambda_j = \dfrac{h_{j+1}}{h_j + h_{j+1}}, \mu_j = 1 - \lambda_j, g_j = \dfrac{6}{h_j + h_{j+1}} (f[x_j, x_{j+1}] - f[x_{j-1}, x_j])\),可以得到:\(\mu_j M_{j-1} + 2M_j + \lambda_j M_{j+1} = g_j\ (1 \le j \le n - 1)\)(下图就是这个递推式的矩阵表示(一个三对角矩阵
-
固定边界(clamped boundary):\(S'(a) = y_0', S'(b) = y_n'\)
- \([a, x_1]\): \(S_1'(x) = -M_0 \dfrac{(x_1 - x)^2}{2h_1} + M_1 \dfrac{(x - a)^2}{2h_1} + f[x_0, x_1] - \dfrac{M_1 - M_0}{6}h_1\)
- 在 \([x_{n-1}, b]\) 上 \(S_n'\) 也是类似的:\(\begin{cases}2M_0 + M_1 = \dfrac{6}{h_1} (f[x_0, x_1] - y_0') = g_0 \\ M_{n-1} + 2M_n = \dfrac{6}{h_n} (y_n' - f[x_{n-1}, x_n]) = g_n\end{cases}\)
-
自由边界(free boundary):\(S''(a) = y_0'' = M_0, S''(b) = y_n'' = M_n\),且 \(M_0 = M_n = 0\) 时
- 那么 \(\lambda_0 = 0, g_0 = 2y_0'';\ \mu_n = 0, g_n = 2y_n''\)
- 此时的样条称为自然样条(natural spline)
-
周期边界(periodic boundary):如果 \(f\) 是周期函数,即 \(y_n = y_0\) 且 \(S'(a^+) = S'(b^-) \Rightarrow M_0 = M_n\)
注
- 只要系数矩阵是严格对角占优的,那么三次样条能通过边界被唯一确定
- 如果 \(f \in C[a, b]\) 且 \(\dfrac{\max h_i}{\min h_i} \le C < \infty\),那么当 \(h_i \rightarrow 0\) 时,\(S(x) \xrightarrow{\text{uniform}} f(x)\)。也就是说,在保证不增加样条阶数的情况下,可通过增加节点个数来提升近似精度
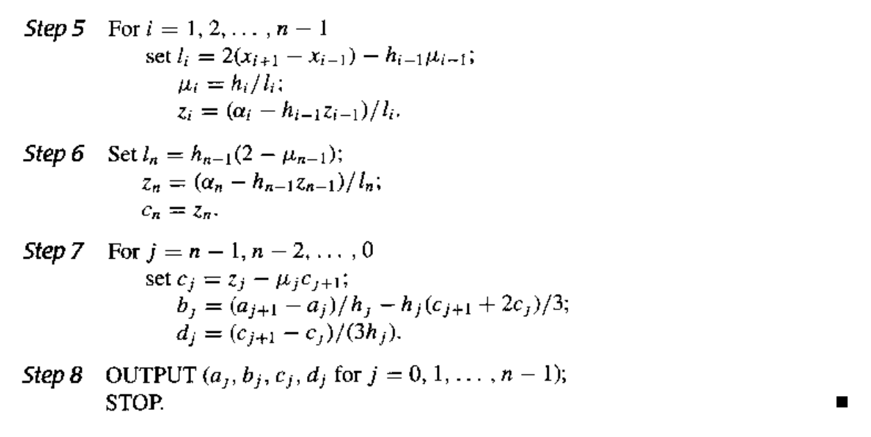
算法概述:三次样条插值法
- 计算 \(\mu_j, \lambda_j, g_j\)
- 求解 \(M_j\)
- 找到包含 \(x\) 的子区间,即找到相应的 \(j\)
- 通过 \(S_j(x)\) 得到 \(f(x)\) 的近似值
对应的作业练习📝
对应小测 7💯
评论区














