Chap 8: Approximation Theory⚓︎
约 3913 个字 18 行代码 预计阅读时间 20 分钟
核心知识
- LSA
- 离散
- 连续:正交多项式
- 切比雪夫多项式
- 经济化
近似理论的目标是:给定 \(x_1, \dots, x_m\) 和 \(y_1, \dots y_m\),寻找更简单的函数 \(P(x) \approx f(x)\)(近似表示 \(f(x)\)
然而,因为有时 \(m\) 可能会特别大,并且 \(y_i\) 是不准确的实验数据(即 \(y_i \ne f(x_i)\)
Discrete Least Square Approximation⚓︎
目标:确定一个多项式 \(P_n(x) = a_0 + a_1 x + \dots a_n x^n\),用于近似表示一组数据 \(\{(x_i, y_i)\ |\ i = 1, 2, \dots, m\}\),使得最小二乘误差 \(E_2 = \sum\limits_{i=1}^m [P_N(x_i) - y_i]^2\) 最小化,其中 \(n \ll m\)
关键:\(E_2\) 实际上是一个关于 \(a_0, a_1, \dots, a_n\) 的函数,也就是说 \(E_2(a_0, a_1, \dots, a_n) = \sum\limits_{i=1}^m [a_0 + a_1 x_i + \dots + a_n x_i^n - y_i]^2\)。要想让 \(E_2\) 最小化,必要条件是 \(\dfrac{\partial E_2}{\partial a_k} = 0, k = 0, \dots, n\)
令 \(b_k = \sum\limits_{i=1}^m x_i^k, c_k = \sum\limits_{i=1}^m y_i x_i^k\),那么:
注
- \(P_n(x)\) 的顺序由用户给出,且必须不得超过 \(m-1\)。若 \(n=m-1\),那么 \(P_n(x)\) 就是 \(E_2 = 0\) 的拉格朗日插值多项式
- 不强制要求 \(P_n(x)\) 是一个多项式
- 如果要考虑权重 \(w_i\) 的话,LSA 的公式就变成:\(E_2 = \sum\limits_{i=1}^m w_i [P_N(x_i) - y_i]^2\)
例子
令 \(y \approx P(x) = \dfrac{x}{ax + b}\),寻找 \(a, b\),使得 \(E_2(a, b) = \sum\limits_{i=1}^m \Big(\dfrac{x_i}{ax_i + b} - y_i\Big)^2\) 最小化。
线性化(linearization):令 \(Y = \dfrac{1}{y}, X = \dfrac{1}{x}\),那么 \(Y \approx a + b X\) 就是一个线性问题了。
将 \((x_i, y_i)\) 转换为 \((X_i, Y_i)\),\(a, b\) 就能被解出来了。
令 \(y \approx P(x) = ae^{-\frac{b}{x}}\),不难发现 \(\ln y \approx \ln a - \dfrac{b}{x}\)
线性化:令 \(Y = \ln y, X = \dfrac{1}{x}, A = \ln a, B = -b\),得到 \(Y \approx A + BX\) 这样一个线性问题。
将 \((x_i, y_i)\) 转换为 \((X_i, Y_i)\),\(a, b\) 就能被解出来了(\(a = e^A, b = -B, P(x) = ae^{-\frac{b}{x}}\))
- 拿那个带权重的 LSA 公式计算,得到一个关于 \(a, b\) 的函数
- 当所有偏导数均为 0 时,函数值最小;所以在代入具体值前,建议先化简偏导数公式,以减小计算量
- 得到的偏导数为:\(\begin{cases}\dfrac{\partial S}{\partial a} = 0 \Rightarrow \sum w_i x_i y_i = 0 \\ \dfrac{\partial S}{\partial b} = 0 \Rightarrow \sum w_i x_i^3 y_i = 0\end{cases}\)
- 再代入具体值,就可以得到关于 \(a, b\) 的二元一次方程
- 解得 \(a = \dfrac{8}{7}, b = \dfrac{23}{49}\)
Orthorgonal Polynomials and Least Squares Approximation⚓︎
目标:
- 离散版本:给定 \(x_1, \dots, x_m;\ y_1, \dots, y_m\),找到更简单的函数 \(P(x) \approx f(x)\),使得 \(E = \sum\limits_{i=1}^m |P(x_i) - y_i|^2\) 最小化。
- 连续版本:给定在 \([a, b]\) 上的函数 \(f(x)\),找到更简单的函数 \(P(x) \approx f(x)\),使得 \(E = \int_a^b [P(x) - f(x)]^2 dx\) 最小化。
定义
对于一组在区间 \([a, b]\) 上的函数 \(\{\varphi_0(x), \varphi_1(x), \dots, \varphi_n(x)\}\),当 \(\forall x \in [a, b]\),\(a_0 \varphi_0(x) + a_1 \varphi_1(x) + \dots + a_n \varphi_n(x) = 0\) 时,有 \(a_0 = a_1 \dots = a_n = 0\),那么称这组函数是线性独立(linearly independent) 的,否则称它们是线性相关(linearly dependent) 的。
定理
如果 \(\varphi_j(x)\) 是一个 \(j\) 次多项式(\(j = 0, \dots, n\)
证明
假设结论不成立,根据定义,\(\exists a_0, a_1, \dots, a_n, \forall x \in [a, b]\) 使得 \(P(x) = a_0 \varphi_0(x) + a_1 \varphi_1(x) + \dots + a_n \varphi_n(x) = 0\)。
此时 \(P(x)\) 是一个零多项式,\(x^n\) 的系数为 0,即 \(a_n = 0\),那么 \(P(x) = a_0 \varphi_0(x) + a_1 \varphi_1(x) + \dots + a_{n-1} \varphi_{n-1}(x) = 0\)。同理可以推出 \(a_{n-1} = 0\),以此类推,最终发现所有系数均为 0。所以假设不成立,得证。
定理
令 \(\Pi_n\) 为一组次数至多为 \(n\) 的多项式,如果 \(\{\varphi_0(x), \varphi_1(x), \dots, \varphi_n(x)\}\) 是 \(\Pi_n\) 内一组线性独立的多项式,那么 \(\Pi_n\) 内的任意多项式均可被唯一写做 \(\varphi_0(x), \varphi_1(x), \dots, \varphi_n(x)\) 的一个线性组合。
定义
对于一般的一组线性独立的函数 \(\{\varphi_0(x), \varphi_1(x), \dots, \varphi_n(x)\}\),关于它们的线性组合 \(P(x) = \sum\limits_{j=0}^n a_j \varphi_j(x)\) 被称为广义多项式(generalized polynomial)。
一些特殊的多项式:
- \(\{\varphi_j(x) = \cos jx\}, \{\psi_j(x) = \sin jx\} \Rightarrow \{\varphi_j(x), \psi_j(x)\}\) 得到的是三角多项式(trigonometric polynomial)
- \(\{\varphi_j(x) = e^{kjx}, k_i \ne k_j\}\) 得到的是指数多项式(exponential polynomial)
定义:权重函数 (weight function)
- 离散版本:当对一组离散点 \((x_i, y_i) (i = 1, \dots, n)\) 进行近似时,我们为每个点赋予一个误差项 \(w_i\),它是一个正实数。此时我们要考虑让 \(E = \sum w_i [P(x_i) - y_i]^2\) 最小化。集合 \(\{w_i\}\) 被称为权重(weight)。设置权重的目标是为这些点赋予不同的“重要程度”,以便实现更好的近似。
- 连续版本:一个在区间 \(I\) 上的可积分的函数 \(w\) 被称为权重函数,它满足 \(\forall x \in I, w(x) \ge 0\),但 \(w(x)\) 不会在 \(I\) 的任意子区间上消失。此时我们要考虑让 \(E = \int_a^b w(x) [P(x) - f(x)]^2 dx\) 最小化。
定义:广义的最小二乘近似 (general least square approximation) 问题
- 离散版本:给定一组离散点 \((x_i, y_i)\) 和一组对应的权重 \(\{w_i\}\)(\(i = 1, \dots, m\)
) 。我们要找到一个广义多项式 \(P(x)\),使得误差 \(E = \sum w_i [P(x_i) - y_i]^2\) 最小化。 - 连续版本:给定定义在区间 \([a, b]\) 上的一个函数 \(f(x)\) 和一个权重函数 \(w(x)\)。我们要找到一个广义多项式 \(P(x)\),使得误差 \(E = \int_a^b w(x) [P(x) - f(x)]^2 dx\) 最小化。
内积
映射 \(V \times V \rightarrow F\) 满足以下三个公理:
- 共轭对称性:\((x, y) = \overline{(y, x)}\)
- 线性:\((ax, y) = a(x, y), (x + y, z) = (x, z) + (y, z)\)
- 正定性:\((x, x) \ge 0;\ (x, x) = 0 \Rightarrow x = 0\)
内积就是 \(x\) 的范数 \(\|x\| = \sqrt{(x, x)}\)
对于一般函数 \((f, g)\):
- 离散版本:\(\sum\limits_i f_i g_i = (f_1\ f_2\ \dots\ f_n) \begin{pmatrix}g_1 \\ g_2 \\ \vdots \\ g_n\end{pmatrix} = (f)^T(g)\)
- 连续版本:\(\int_a^b f(x)g(x) dx\)
若带有权重函数,即 \((f, g)_w\):
-
离散版本:
\[ \begin{align} \sum\limits_i f_i g_i & = (f_1\ f_2\ \dots\ f_n) \begin{pmatrix}w_1 & 0 & \dots & 0 \\ 0 & w_2 & \dots & 0 \\ \vdots & \vdots & \ddots & \vdots \\ 0 & 0 & \dots & w_n\end{pmatrix} \begin{pmatrix}g_1 \\ g_2 \\ \vdots \\ g_n\end{pmatrix} \notag \\ & = (f)^T[w](g) \notag \end{align} \] -
连续版本:\(\int_a^b w(x)f(x)g(x) dx\)
对于 \((f, g) = \begin{cases}\sum\limits_{i=1}^m w_i f(x_i) g(x_i) & \text{discrete version} \\ \int_a^b w(x) f(x) g(x) dx & \text{continuous version} \end{cases}\),可以证明它表示的是一个内积(inner product),且 \(\|f\| = \sqrt{(f, f)}\) 是一个范数。并且当 \((f, g) = 0\) 时,我们称 \(f, g\) 是正交的(orthogonal)。
因此一般的最小二乘近似问题可以被转换为:
令 \(P(x) = a_0 \varphi_0(x) + a_1 \varphi_1(x) + \dots + a_n \varphi_n(x)\),然后与求解离散问题类似:\(\dfrac{\partial E}{\partial a_k} = 0\),即对于所有 \(a_k\) 偏导数为 0 时误差取最小值。将等号左侧公式化简,可以得到:\(\sum\limits_{j=0}^n (\varphi_k, \varphi_j) a_j = (\varphi_k, f), k = 0, \dots, n\),也就是说:
例子
例子
当使用 \(\varphi_j(x) = x^j\) 和 \(w(x) \equiv 1\) 近似 \(f(x) \in C[0, 1]\) 时,\((\varphi_i, \varphi_j) = \int_0^1 x^i x^j dx = \dfrac{1}{i + j +1}\)(希尔伯特矩阵(Hilbert matrix))
改进:如果我们能找到一组一般的线性独立的函数 \(\{\varphi_0(x), \varphi_1(x), \dots, \varphi_n(x) \}\),使得任何函数对 \(\varphi_i(x), \varphi_j(x)\) 是正交的(orthogonal),那么范数矩阵将会是个对角矩阵。此时我们有 \(a_k = \dfrac{(\varphi_k, f)}{(\varphi_k, \varphi_k)}\)
下面考虑构造正交多项式(orthogonal polynomials)。
定理
对于一组在 \([a, b]\) 的多项式函数 \(\{\varphi_0(x), \varphi_1(x), \dots, \varphi_n(x)\}\) 以及一个权重函数 \(w\),当满足以下条件时,我们认为这些函数是正交的:
其中 \(B_k = \dfrac{(x \varphi_{k-1}, \varphi_{k-1})}{(\varphi_{k-1}, \varphi_{k-1})}, C_k = \dfrac{(x \varphi_{k-1}, \varphi_{k-2})}{( \varphi_{k-2}, \varphi_{k-2})}\)
注
- 这样构造出来的正交多项式都是首一多项式(monic polynomial)(即最高次数项系数为 1 的多项式
) 。 - 该定理正是源自我们在线性代数中学过的格拉姆 - 施密特正交化(Gram-Schmidt process)。
例子
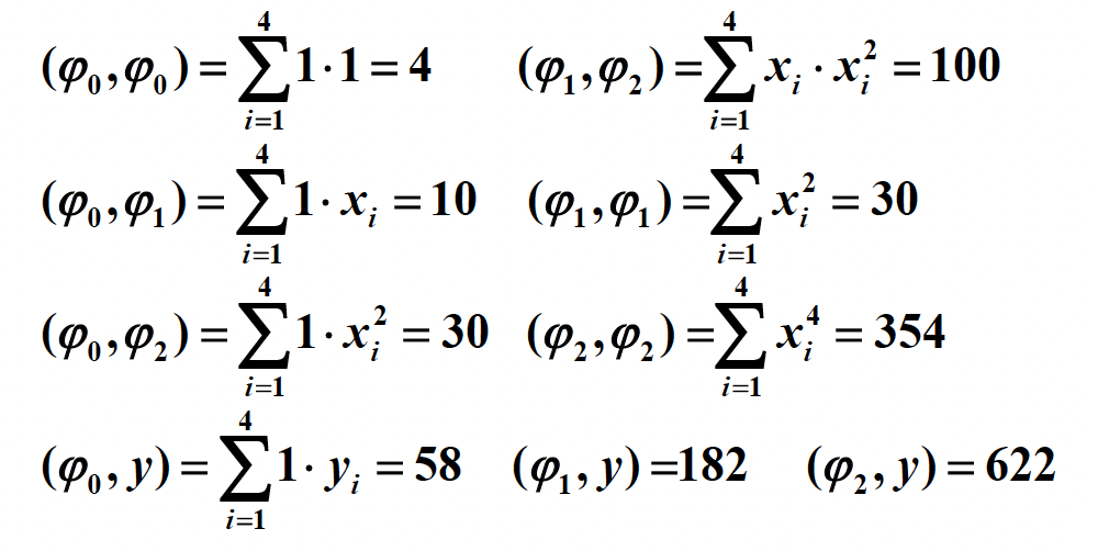
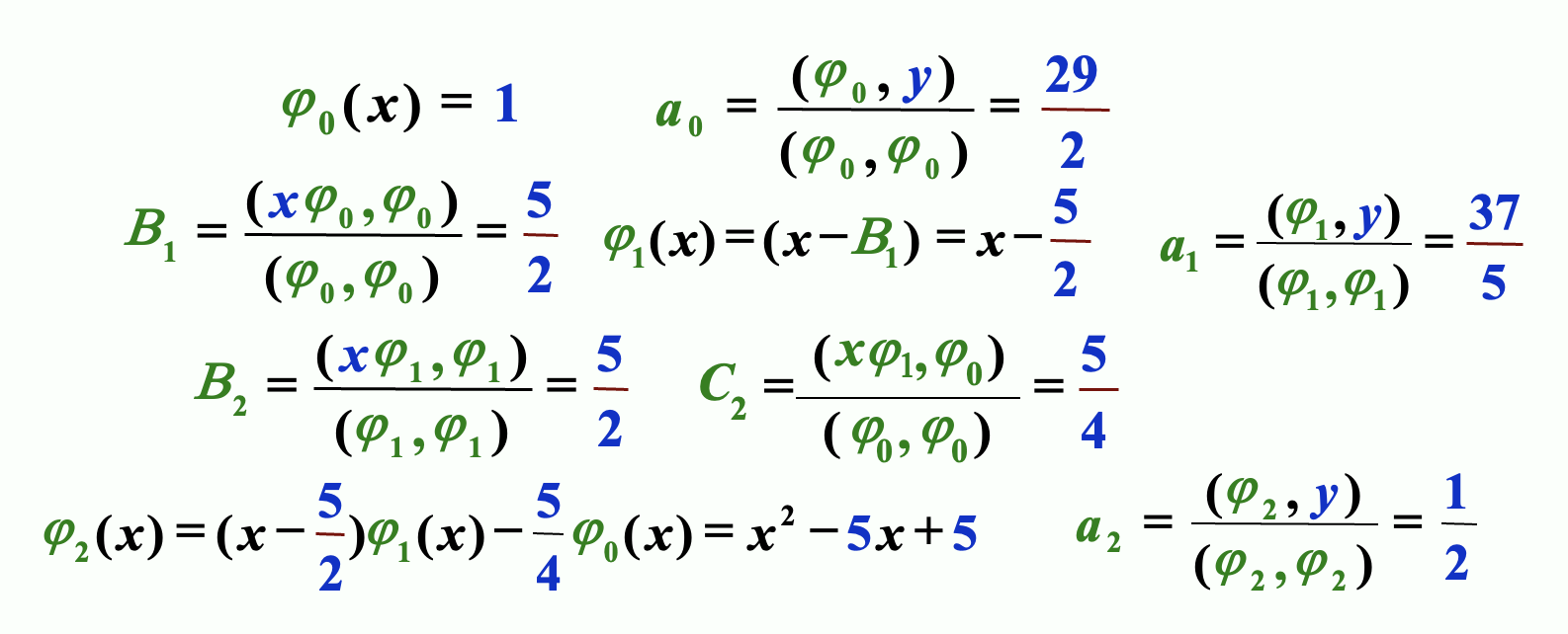
(和之前基本一样的)使用 \(y = c_0 + c_1 x + c_2 x^2, w \equiv 1\) 近似点集 \(\{(1, 4), (2, 10), (3, 18), (4, 26)\}\)
算法:正交多项式近似
用一个有被容忍值约束的误差的多项式,近似一个给定的函数。
- 输入:数据个数 \(m\);\(x[m];\ y[m]\);权重 \(w[m]\);容忍值 \(TOL\);多项式最大阶数 \(Max_n\)
- 输出:近似多项式的系数
Step 1 Set phi_0(x) ≡ 1;
a_0 = iprod(phi_0, y) / iprod(phi_0, phi_0);
P(x) = a_0 * phi_0(x);
err = iprod(y, y) - a_0 * iprod(phi_0, y);
Step 2 Set B_1 = iprod(x * phi_0, phi_0) / iprod(phi_0, phi_0);
phi_1(x) = x - B_1;
a_1 = iprod(phi_1, y) / iprod(phi_1, phi_1);
P(x) += a_1 * phi_1(x);
err -= a_1 * iprod(phi_1, y);
Step 3 Set k = 1;
Step 4 while ((k < Max_n) && (|err| >= TOL)) do steps 5-7:
Step 5 k++;
Step 6 B_k = iprod(x * phi_1, phi_1) / iprod(phi_1, phi_1);
C_k = iprod(x * phi_1, phi_0) / iprod(phi_0, phi_0);
phi_2(x) = (x - B_k) * phi_1(x) - C_k * phi_0(x);
a_k = iprod(phi_2, y) / iprod(phi_2, phi_2);
Step 7 Set phi_0(x) = phi_1(x); phi_1(x) = phi_2(x);
Step 8 Output(); STOP.
讨论
这里的 err 是否是最小二乘误差,为什么?
是的,并且 err 的推导公式如下:
Chebyshev Polynomials and Economization of Power Series⚓︎
前面讲过,解决一般的最小二乘近似问题的目标是:
再次明确:我们的目标是最小化 \(\|P - y\|_{\infty}\)——这是一个极小化极大问题(minimax problem)。
Targets⚓︎
目标 1.0:找到 \(n\) 阶多项式 \(P_n(x)\) 使得 \(\|P_n - f\|_{\infty}\) 最小化。
定义
如果 \(P(x_0) - f(x_0) = \pm \|P - f\|_{\infty}\),那么此时 \(x_0\) 被称为 \((\pm)\) 偏差点(deviation point)(也就是正好在误差边界上的点
从任意地方构造出多项式并不容易,但我们能够检验多项式的一些特征:
- 如果 \(f \in C[a, b]\) 且 \(f\) 不是一个 \(n\) 阶多项式,那么存在一个唯一的多项式 \(P_n(x)\),使得 \(\|P_n - f\|_{\infty}\) 最小化
- \(P_n(x)\) 存在,且必须同时有正负偏差点
-
切比雪夫定理(Chebyshev Theorem):\(P_n(x)\) 最小化 \(\|P_n - f\|_{\infty}\ \Leftrightarrow P_n(x)\) 至少有 \(n+2\) 个关于 \(f\) 的正负偏差点。也就是说,存在一组点 \(a \le t_1 < \dots < t_{n+2} \le b\) 使得 \(P_n(t_k) - f(t_k) = \pm(-1)^k \|P_n - f\|_{\infty}\)。集合 \(\{t_k\}\) 被称为切比雪夫交替序列(Chebyshev alternating sequence)。
\(P_n(x) - f(x)\) 至少有 \(n+1\) 个根。
目标 2.0:确定插值点 \(\{x_0, \dots, x_n\}\) 使得 \(P_n(x)\) 最小化余项 \(|P_n(x) - f(x)| = |R_n(x)| = \Big|\dfrac{f^{(n+1)}(\xi)}{(n+1)!} \prod\limits_{i=0}^n (x - x_i)\Big|\)
目标 2.1:找到 \(\{x_1, \dots, x_n\}\) 使得 \(\|w_n\|_{\infty}\) 在 \([-1, 1]\) 最小化,其中 \(w_n(x) = \prod\limits_{i=1}^n (x - x_i)\)
注意到 \(w_n(x) = x^n - P_{n-1}(x)\),问题就变成了:
目标 3.0:找到多项式 \(P_{n-1}(x)\),使得 \(\|x^n - P_{n-1}(x)\|_{\infty}\) 在 \([-1, 1]\) 上最小。
根据切比雪夫定理,我们知道 \(P_{n-1}(x)\) 有 \(n+1\) 个关于 \(x^n\) 的偏差点,也就是说 \(w_n(x)\) 在 \(n+1\) 个点上交替获得最大值和最小值。
Chebyshev Polynomials⚓︎
考虑 \(\cos (n \theta)\) 在 \([0, \pi]\) 上的 \(n+1\) 个极值。
令 \(x = \cos (\theta)\),那么 \(x \in [-1, 1]\)。我们称 \(T_n(x) = \cos (n\theta) = \cos (n \cdot \text{arc} \cos x)\) 为切比雪夫多项式(Chebyshev polonomial)。
- \(T_n(x)\) 假设在 \(t_k = \cos \Big(\dfrac{k}{n} \pi\Big) (k = 0, 1, \dots, n)\) 上,在最大值 1 和最小值 -1 之间交替变换,也就是说 \(T_n(t_k) = (-1)^k \|T_n(x)\|_{\infty}\)
- \(T_n(x)\) 有 \(n\) 个根 \(x_k = \cos \Big(\dfrac{2k - 1}{2n} \pi \Big)(k = 1, \dots, n)\)
- \(T_n(x)\) 有递推关系式:\(T_0(x) = 1, T_1(x) = x, T_{n+1}(x) = 2x T_n(x) - T_{n-1}(x)\)
- \(T_n(x)\) 是一个最高阶系数为 \(2^{n-1}\) 的 \(n\) 阶多项式
- \(\{T_0(x), T_1(x), \dots\}\) 在 \([-1, 1]\) 上关于权重函数 \(w(x) = \dfrac{1}{\sqrt{1 - x^2}}\) 上正交,也就是说 \((T_n, T_m) = \int_{-1}^1 \dfrac{T_n(x) T_m(x)}{\sqrt{1-x^2}} dx = \begin{cases}0 & n \ne m \\ \pi & n = m = 0 \\ \dfrac{\pi}{2} & n = m \ne 0\end{cases}\)
回到之前提到的目标:
- 目标 3.0:找到多项式 \(P_{n-1}(x)\),使得 \(\|x^n - P_{n-1}(x)\|_{\infty}\) 在 \([-1, 1]\) 上最小。
- 此时 \(w_n(x) = x^n - P_{n-1}(x) = \dfrac{T_n(x)}{2^{n-1}}\)
- 目标 2.1:找到 \(\{x_1, \dots, x_n\}\) 使得 \(\|w_n\|_{\infty}\) 在 \([-1, 1]\) 最小化,其中 \(w_n(x) = \prod\limits_{i=1}^n (x - x_i)\)
- 此时 \(\min\limits_{w_n \in \widetilde{\Pi}_n} \|w_n\|_{\infty} = \Big\|\dfrac{1}{2^{n-1}} T_n(x)\Big\|_{\infty} = \dfrac{1}{2^{n-1}}\)。其中:\(\widetilde{\Pi}_n\) 是 \(n\) 阶的首一多项式,\(\{x_1, \dots, x_n\}\) 是 \(T_n(x)\) 的 \(n\) 个根
- 目标 2.0:确定插值点 \(\{x_0, \dots, x_n\}\) 使得 \(P_n(x)\) 最小化余项 \(|P_n(x) - f(x)| = |R_n(x)| = \Big|\dfrac{f^{(n+1)}(\xi)}{(n+1)!} \prod\limits_{i=0}^n (x - x_i)\Big|\)
- 取 \(T_{n+1}(x)\) 上的 \(n+1\) 个根作为插值点 \(\{x_0, \dots, x_n\}\),然后关于 \(f(x)\) 的插值多项式 \(P_n(x)\) 假设绝对误差的最小上界为 \(\dfrac{M}{2^n (n+1)!}\)
例子
找到在 \([0, 1]\) 上关于 \(f(x) = e^x\) 的最佳近似多项式,使得绝对误差不超过 \(0.5 \times 10^{-4}\)。
- 确定 \(n\):
- 改写变量 \(x = \dfrac{a+b}{2} + \dfrac{b-a}{2} t = \dfrac{1}{2}(t+1)\)
- \(|R_n| \le \dfrac{e}{(n+1)!} \times \dfrac{1}{2^{2n+1}} < \dfrac{1}{2} \times 10^{-4}\),解得 \(n = 4\)
- 找到 \(T_5(t)\) 的根:\(t_0 = \cos \dfrac{\pi}{10}, \cos \dfrac{3 \pi}{10}, \cos \dfrac{5 \pi}{10}, \cos \dfrac{7 \pi}{10}, \cos \dfrac{9 \pi}{10}\)
- 对变量做点改变:
- \(x_0 = \dfrac{1}{2} \Big(\cos \dfrac{\pi}{10} + 1\Big) \approx 0.98\)
- \(x_1 = \dfrac{1}{2} \Big(\cos \dfrac{3 \pi}{10} + 1\Big) \approx 0.79\)
- \(x_2 = \dfrac{1}{2} \Big(\cos \dfrac{5 \pi}{10} + 1\Big) \approx 0.50\)
- \(x_3 = \dfrac{1}{2} \Big(\cos \dfrac{7 \pi}{10} + 1\Big) \approx 0.21\)
- \(x_4 = \dfrac{1}{2} \Big(\cos \dfrac{9 \pi}{10} + 1\Big) \approx 0.02\)
- 用插值点 \(x_0, \dots, x_4\) 计算 \(L_4(x)\)
Economization of Power Series⚓︎
目标:给定 \(P_n(x) \approx f(x)\),幂级数经济化(economization) 的目标是在确保精度损失最小的情况下,降低多项式的次数。
考虑一个任意的 \(n\) 阶多项式 \(P_n(x) = a_n x^n + a_{n-1} x^{n-1} + \dots + a_1 x + a_0\),对应的多项式 \(P_{n-1}(x)\) 通过移除 \(n\) 阶多项式 \(Q_n(x)\)(\(x^n\) 项的系数为 \(a_n\))得到。那么 \(\max\limits_{[-1, 1]} |f(x) - P_{n-1}(x)| \le \max\limits_{[-1, 1]} |f(x) - P_n(x)| + \max\limits_{[-1, 1]} |Q_n(x)|\),而 \(Q_n(x)\) 能够反映精度的损失。
为了最小化精度损失,\(Q_n(x)\) 必须为 \(a_n \times \dfrac{T_n(x)}{2^{n-1}}\)
注
- 对于一般区间 \([a, b]\),需要改变变量。也就是说,令 \(x = [(b - a) t + (a + b)] / 2\),然后寻找对于 \(f(t)\) 在 \([-1, 1]\) 上的(近似)多项式 \(P_n(t)\),最终得到 \(P_n(x)\)。
- 另一种方法是用 \(T_0(x), \dots, T_k(x)\) 的线性组合来表示每一项 \(x^k\)。比如,\(x = T_1(x)\),且 \(x^3 = [T_3(x) + 3T_1(x)] / 4\)。然后只要从原始多项式中移除切比雪夫函数就行了。
例子
对应的作业练习📝
对应小测 8、9、10💯
评论区







