Chap 5 Induction and Recursion⚓︎
约 6216 个字 预计阅读时间 31 分钟
核心知识
- 数学归纳法、强归纳法、良序性
- 递归定义:函数、结构、集合
- 结构归纳法
- 广义归纳法
- 递归算法
Mathematical Induction⚓︎
Mathematical Induction⚓︎
数学归纳法 (mathematical induction):证明对于所有正整数 \(n\),命题函数 \(P(n)\) 均为真
数学归纳法原理 (PRINCIPLE OF MATHEMATICAL INDUCTION)
- 基本步骤 (BASIS STEP):验证 \(P(1)\) 为真
- 归纳步骤 (INDUCTIVE STEP):证明对于所有正整数 \(k\),条件语句 \(P(k) \rightarrow P(k + 1)\) 为真
为了完成归纳步骤,我们需要假设 \(P(k)\) 为真 ( 这被称为归纳假设 (inductive hypothesis)),然后在这一假设下,证明 \(P(k + 1)\) 为真
用推理规则 (inference rules) 表达上述原则:\((P(1) \wedge \forall k (P(k) \rightarrow P(k + 1))) \rightarrow \forall nP(n)\)
注意:我们假设 \(P(k)\) 为真,不是对于所有正整数 \(k\) 而言,而是想通过这个假设证明 \(P(k + 1)\) 为真,因此通过数学归纳法得到的证明不是循环论证
Why Mathematical Induction is Valid⚓︎
可以用良序性 (well-ordering property)证明数学归纳法的合法性
良序性:对于一个包含正整数的集合,它的每个非空子集都有最小的元素
证明 ( 归谬法 )
- 假设至少有一个正整数 \(n\),\(P(n)\) 为假,那么包含满足 \(P(n)\) 为假的正整数的集合 \(S\) 非空
- 因此根据良序性,\(S\) 中有一个最小的元素,记作 \(m\)。因为 \(P(1)\) 为真,所以 \(m > 1\),因此 \(m - 1\) 也是正整数
- 因为 \(m - 1\) 比 \(m\) 还小,说明 \(m - 1\) 不在 \(S\) 中,所以 \(P(m - 1)\) 为真
- 又因为 \(P(m - 1) \rightarrow P(m)\) 为真,所以 \(P(m)\) 为真,得到矛盾。因此对于每个正整数 \(n\),\(P(n)\) 为真
Choosing the Correct Basis Step⚓︎
有时,基本步骤可能不是从 1 开始,而是从整数 \(b\) 开始的。因此在基本步骤中,要先验证 \(P(b)\) 为真
Guidelines for Proofs by Mathematical Induction⚓︎
🌟数学归纳法证明模版
- 将问题转化为以下形式:"\(\forall n > b, P(n)\)",其中 \(b\) 为固定的整数。如果是对所有正整数满足 \(P(n)\) 为真,则令 \(b = 1\);如果是对所有非负整数满足 \(P(n)\) 为真,则令 \(b = 0\)。对于某些情况,比如不等式,需要通过 \(P(n)\) 的真值表 (\(n\) 的值较小时 ) 来决定合适的 \(b\)
- 写下“Basis Step”一词,然后证明 \(P(b)\) 为真,注意为 \(b\) 选取正确的值
- 写下 "Inductive Step" 一词,然后明确写出归纳假设,比如 "Assume that \(P(k)\) is true for an arbitrary fixed integer \(k \ge b\)"
- 写下 \(P(k + 1)\) 是什么,即在该归纳假设下要证明什么
- 利用假设 \(P(k)\) 证明 \(P(k + 1)\)
通常,这是数学归纳法证明中最困难的部分。选定最有希望的策略,并思考如何用归纳假设构建归纳步骤的证明。同时,确保对于所有整数 \(k \ge b\),证明都是合法的,关注当 \(k\) 的取值较小时(包括 \(k = b\))证明的处理情况
- 为归纳步骤下好结论,比如写下 "This completes the inductive step"
- 当完成了基本步骤和归纳步骤后,写下最后的结论,比如 "By mathematical induction, \(P(n)\) 对于所有整数 \(n \ge b\) 均为真 "
The Good and the Bad of Mathematical Induction⚓︎
- Good:证明猜想 (Conjecture)的一大利器
- Bad:不能用来发现新的定理,而且无法从证明过程中看出定理的本质所在
也许你在根本没有理解某个定理的情况下,也能通过数学归纳法证明出该定理
Examples of Proofs by Mathematical Induction⚓︎
例题 ( 请最好看完所有例子 )
见教材 \(P_{336-340}\)
见教材 \(P_{340-342}\)
补充知识点
调和数 (harmonic numbers):\(H_j = 1 + \dfrac{1}{2} + \dfrac{1}{3} + \dots + \dfrac{1}{j}\)
结论:\(H_{2^n} \ge 1 + \dfrac{n}{2}\)( 证明过程见 \(P_{342}\))
调和级数 (harmonic series):\(1 + \dfrac{1}{2} + \dfrac{1}{3} + \dots + \dfrac{1}{n} + \dots\) 它是发散的 (divergent)
见教材 \(P_{346-347}\)
书上的例题是证明第 3 章中安排讲座问题使用的贪心算法是否得到的是最优解,但我有点看不太懂😕
见教材 \(P_{347-349}\)
-
基本步骤:因为只有 3 个人,画一个三角形可以较为直观地解释,这里就不详细展开了 ~
-
递归步骤:
- case 1: 如果有人向 A 或 B 丢馅饼,那么除了 A,B 之外的 2k + 1 个人只有 2k 个馅饼,由归纳假设知,那 2k + 1 个人中至少有一个人没有被馅饼砸中
- case 2: 如果没有人向 A 或 B 丢馅饼,则剩下 2k + 1 个人满足归纳假设的条件,在他们之中至少存在一个幸存者 S,他不仅没被那 2k 个人砸中,也不会被 A 或 B 砸中 ( 因为 A 和 B 没被原来 2k + 1 个人砸中,说明 A 和 B 之间的距离是他们离其他人的最近距离,因此 A 和 B 会互相扔馅饼 )
综上,至少有 1 位幸存者
Mistaken Proofs by Mathmatical Induction⚓︎
使用数学归纳法时,请确保基本步骤 (basis step)和归纳步骤 (inductive step)都正确!!!
Supplements(from Exercises)⚓︎
- 伯努利不等式 (Bernoulli's inequality):如果 \(h > -1\),对于所有非负整数 \(n\),满足 \(1 +nh \le (1 + h)^n\)
- 假设 \(a, b\) 为实数,且 \(0 < b < a\),如果 \(n\) 为正整数,则 \(a^n - b^n \le na^{n - 1}(a - b)\) 成立
- 对于正整数 \(n\),满足 \(1 + \dfrac{1}{\sqrt 2} + \dfrac{1}{\sqrt 3} + \dots + \dfrac{1}{\sqrt n} > 2(\sqrt{n + 1} - 1)\)
- 如果 \(n\) 是非负整数,则 \(H_{2^n} \le 1 + n\)
- \(H_1 + H_2 + \dots + H_n = (n + 1)H_n - n\)
- 当 \(n \ge 3\) 且 \(n\) 为整数时,对于有 \(n\) 个元素的集合,它有 \(\dfrac{n(n - 1)(n - 2)}{6}\) 个包含 3 个元素的子集
Strong Induction and Well-Ordering⚓︎
注:数学归纳法、强归纳法、良序性三者是等价的
Strong Induction⚓︎
强归纳法 (STRONG INDUCTIVE)
- BASIS STEP:验证 \(P(1)\) 为真(与数学归纳法一样)
- INDUCTIVE STEP:证明对于所有正整数 \(k\),条件语句 \([P(1) \wedge P(2) \wedge \dots \wedge P(k)] \rightarrow P(k+1)\) 为真
强归纳法的归纳假设是对于 \(j = 1, 2, \dots, k, P(j)\) 为真。因此它相比数学归纳法更加灵活
强归纳法也被称为数学归纳法第二原理 (second principle of mathematical induction)或完全归纳法 (complete induction)。因此数学归纳法也被称为不完全归纳法 (incomplete induction)(但这个名称不太符合它,因为数学归纳法是一个“完全”的方法)
Examples of Proofs Using Strong Induction⚓︎
选择数学归纳法 OR 强归纳法
- 如果对于所有正整数 \(k\),能够直接证明 \(P(k) \rightarrow P(k + 1)\) 时,应使用数学归纳法
- 如果发现:对于不超过 \(k\) 的正整数 \(j\) 满足 \(P(j)\) 为真,这个假设能够证明 \(P(k + 1)\) 为真;但无法仅仅从 \(P(k)\) 为真的条件中证明 \(P(k + 1)\) 为真。这时应当使用强归纳法
强归纳法的推广
令 \(b\) 为固定的整数,\(j\) 为固定的正整数,为了证明对于所有整数 \(n \ge b\),\(P(n)\) 均为真,完成以下步骤:
- BASIS STEP:验证命题 \(P(b), P(b + 1), \dots, P(b + j)\) 为真
- INDUCTIVE STEP:对于所有整数 \(k \ge b + j\),证明 \([P(b) \wedge P(b + 1) \wedge \dots \wedge P(k)] \rightarrow P(k + 1)\) 为真
🌰
将 k+1 分解为两个因数 a 和 b 后,因为 a、b 在归纳假设的范围内,因此它们满足是质数或多个质数的乘积的条件,所以 k+1 也满足该条件
Using Strong Induction in Computational Geometry⚓︎
计算几何 (computational geometry):离散数学的分支,研究关于几何图形的计算问题
定义:
-
多边形 (polygon):由一系列线段 \(s_1, s_2, \dots, s_n\)( 它们被称为边 (sides)) 构成的封闭几何图形
如果没有两条非连续的边相交,那么被称为简单 (simple)多边形
-
顶点 (vertex):多边形中每对连续的边 \(s_i, s_{i + 1}(i = 1, 2, \dots, n - 1)\)( 也包括 \(s_n\) 和 \(s_1\)) 上的公共端点
- 每个简单多边形将平面划分成 2 个区域:
- 内部 (interior):曲线内的所有点
- 外部 (exterior):曲线外的所有点
- 凸 (convex)多边形:任意两个顶点间的线段位于多边形的内部或边界上。否则被称为凹 (nonconvex)多边形
- 对角线 (diagonal):在简单多边形中,连接两个非连续顶点的线段
- 内部对角线 (internal diagonal):如果除了端点外完全在内部的对角线
定理 1:对于一个有 \(n\)(\(n\) 为 \(\ge 3\) 的整数 ) 条边的简单多边形,它能被划分为 \(n - 2\) 个三角形
引理 1:每一个至少有 4 条边的多边形有一个内部对角线
Proofs Using the Well-Ordering Property⚓︎
🌰
假设 \(r \ge d\),因为 \(a = dq_0 + r\),所以 \(a - d(q_0 + 1) = r - d \ge 0\),因此存在 \(q\) 和 \(r\),使得 \(0 \le r < d\) 成立(且 \(q\) 和 \(r\) 是唯一的)
Supplements(from Exercises)⚓︎
-
对于所有正整数对 \(n, k\),可以通过以下步骤证明 \(P(n, k)\) 为真 ( 以下均省略 " 对于所有正整数 \(n, k\)")
- \(P(1, 1)\) 为真,且 \(P(n, k) \rightarrow [P(n + 1, k) \wedge P(n, k + 1)]\) 为真
- \(P(1, k)\) 为真,且 \(P(n, k) \rightarrow P(n + 1, k)\) 为真
- \(P(n, 1)\) 为真,且 \(P(n, k) \rightarrow P(n, k + 1)\) 为真
-
数学归纳法、强归纳法、良序性三者等价的证明:
- 用良序性证明数学归纳法:见上面
- 用良序性证明强归纳法:
- 用数学归纳法证明良序性:
Recursive Definition and Structural Induction⚓︎
Recursively Defined Functions⚓︎
递归 ( 或归纳 ) 定义 (recursive/inductive definition):比如下面对函数的定义 ( 其域为非负整数 )
- BASIS STEP:具体说明自变量为 0 时函数的值
- 递归步骤 (RECURSIVE STEP):给定一个规则——通过前面更小的整数下的函数值,得到在某个整数下的函数值
递归定义函数是严格定义的 (well defined),也就是说,
- 对于给定的任意正整数,我们都能使用定义的两部分 ( 即基本步骤和递归步骤 ),找到对应正整数的函数值
- 无论我们怎样使用定义的两部分,总能得到相同的值
对于某些递归定义函数,前 \(k\) 个正整数对应的函数值已经给出;并且给定了一个规则:通过一些或全部前 \(k\) 个整数下的函数值,得到在某个整数下的函数值。这种也是严格定义的函数,它遵循强归纳。比如前面讲到的斐波那契数便是如此。下面将运用斐波那契数得到一些性质:
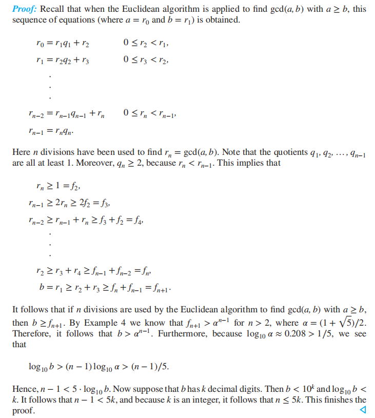
应用:证明欧几里得算法 \(\text{gcd}(a, b)\) 中的除法次数为 \(O(\log b)\)
定理 1——拉梅定理 (LAME'S THEOREM):令 \(a, b\) 为正整数且 \(a \ge b\),那么在欧几里得算法中,得到 \(\text{gcd}(a, b)\) 所需除法次数小于等于 5 倍的 \(b\) 的十进制位数
因为 \(b\) 的十进制位数为 \(\lfloor \log_{10} b \rfloor + 1 \le \log_{10}b + 1\),由定理 1 知除法次数小于等于 \(5(\log_{10} b + 1)\)。又因为 \(5(\log_{10} b + 1)\) 是 \(O(\log b)\),因此可以得到上述结论。
Recursively Defined Sets and Structures⚓︎
递归定义集合 (recursively definition of sets)分为两部分:
- 基本步骤 (basis step):具体说明初始的一组元素
- 递归步骤 (recursive step):提供让已知的新元素进入该集合的规则
递归定义也可包含一个排他规则 (exclusion rule):递归定义的集合不包含除了在基本步骤中说明的元素,或者通过递归步骤产生的元素之外的元素。
🌰
递归定义在研究字符串 (strings)时发挥重要作用,我们有以下定义:
-
来自字母表 \(\Sigma\) 的字符串,是一个由来自 \(\Sigma\) 的符号构成的有限序列。
-
来自字母表 \(\Sigma\) 的字符串集合 \(\Sigma^*\),按照下面步骤递归定义:
- BASIS STEP:\(\lambda \in \Sigma^*\),\(\lambda\) 是不包含符号的空字符串
- RECURSIVE STEP:如果 \(w \in \Sigma^*\) 且 \(x \in \Sigma\),那么 \(wx \in \Sigma^*\)
在递归步骤中,通过在原有字符串的末尾添加一个字符来形成新的字符串。
🌰位串的定义:
递归定义还可以用来定义关于递归定义函数中元素的运算和函数,比如下面这两个定义:
-
通过拼接 (concatenation),将两个字符串结合起来。令 \(\Sigma\) 为符号集,\(\Sigma^*\) 为由 \(\Sigma\) 里的符号构成的字符串集。下面递归定义两个字符串的拼接运算,记作 \(\cdot\)
- BASIS STEP:如果 \(w \in \Sigma^*\),那么 \(w \cdot \lambda = w\),其中 \(\lambda\) 为空字符串
- RECURSIVE STEP:如果 \(w_1 \in \Sigma^*, w_2 \in \Sigma^*, x \in \Sigma\),那么 \(w_1 \cdot (w_2 x) = (w_1 \cdot w_2) x\)
\(w_1 \cdot w_2\) 通常记作 \(w_1w_2\)
-
字符串长度 (length):记作 \(l(w)\),满足 \(\begin{cases}l(\lambda) = 0 \\ l(wx) = l(w) + 1 \quad \text{ if } w \in \Sigma^*\text{ and } x \in \Sigma \end{cases}\)
递归定义的另一重要应用是用来定义各种类型的合式公式 (well-formed formulae)
-
命题逻辑 (propositional logic)中的合式公式:包含 \(\mathbf{T}, \mathbf{F}\)、命题变量和来自集合 \(\{\neg, \wedge, \vee, \rightarrow, \leftrightarrow \}\) 中的运算符
- BASIS STEP:\(\mathbf{T}, \mathbf{F}, s\),其中 \(s\) 为命题变量,它们是合式公式
- RECURSIVE STEP:如果 \(E, F\) 是合式公式,那么 \((\neg E), (E \wedge F), (E \vee F), (E \rightarrow F), (E \leftrightarrow F)\) 也是合式公式
-
运算符 (operators)和操作数 (operands)中的合式公式:包含变量、数字、和来自集合 \(\{+, -, *, /, \uparrow\}\) 的运算符 (\(\uparrow\) 指的是指数运算 )
- BASIS STEP:如果 \(x\) 是数字或变量,则 \(x\) 是合式公式
- RECURSIVE STEP:如果 \(F, G\) 是合式公式,则 \((F + G), (F - G), (F *G), (F / G), (F \uparrow G)\) 是合式公式
树 (trees)也可采用递归定义(具体内容 Chap 11)
-
有根树 (rooted trees):是一组顶点的集合,其中包含一个唯一的根节点;以及连接这些顶点的边。递归定义如下:
- BASIS STEP:单个顶点r是一棵有根树
- RECURSIVE STEP:假设 \(T_1, T_2, \dots, T_n\) 是不相交的有根树,它们的根节点分别为 \(r_1, r_2, \dots, r_n\)。那么新的有根树起始于一个根节点 \(r\),该点不在 \(T_1, \dots, T_n\) 中的任何一棵树中,然后从 \(r\) 开始,向 \(r_1, \dots, r_n\) 添加边。这样就形成了一棵有根树
根据该递归定义,可以构造出无穷多棵有根树
二叉树 (binary tree):有根树的一种特殊情况。我们给出下面两种二叉树的递归定义:
-
扩展二叉树 (extended binary tree)
- BASIS STEP:空树是一棵扩展二叉树
- RECURSIVE STEP:如果 \(T_1, T_2\) 是不相交的两棵(非空)扩展二叉树,那么就有一棵扩展二叉树,记作 \(T_1 \cdot T_2\),它由一个根节点 \(r\),以及一条从根节点连接左子树 \(T_1\) 的根节点的边,和一条连接右子树 \(T_2\) 的根节点的边
-
满二叉树 (full binary tree)
- BASIS STEP:仅由单个顶点 \(x\) 构成一棵满二叉树
- RECURSIVE STEP:如果 \(T_1, T_2\) 是两棵不相交的满二叉树,那么就有一棵满二叉树,记作 \(T_1 \cdot T_2\),它由一个根节点 \(r\),以及从根节点连接到作为左子树的 \(T_1\) 的根节点,和作为右子树的 \(T_2\) 的根节点的边
简化版:这种二叉树除了叶子节点外,其余节点都有 2 个孩子。
Structural Induction⚓︎
结构归纳法 (structural induction):用于证明递归定义的合法性
- BASIS STEP:证明结果适用于所有在递归定义的基本步骤中说明的元素
- RECURSIVE STEP:证明如果对于每个用于在定义的递归步骤中构建新元素的元素,语句均正确,那么结果也适用于这些新构建的元素
结构归纳法的有效性可由非负整数的数学归纳法证得。
令 \(P(n)\) 表示:对于所有由 \(n\) 次或更少次来自递归定义中递归步骤的规则应用而产生的元素,结果为真
- BASIS STEP:证明 \(P(0)\) 为真
- RECURSIVE STEP:假设 \(P(k)\) 为真,那么 \(P(k + 1)\) 为真
例题
递归定义满二叉树 \(T\) 的高度 \(h(T)\)
- BASIS STEP:只有一个根节点 \(r\) 的满二叉树 \(T\) 的高度为 \(h(T) = 0\)
- RECURSIVE STEP:如果 \(T_1, T_2\) 都是满二叉树,那么满二叉树 \(T = T_1 \cdot T_2\) 的高度 \(h(T) = 1 + \max(h(T_1), h(T_2))\)
递归定义满二叉树的顶点个数 \(n(T)\)
- BASIS STEP:只有一个根节点 \(r\) 的满二叉树 \(T\) 的顶点个数 \(n(T) = 1\)
- RECURSIVE STEP:如果 \(T_1, T_2\) 都是满二叉树,那么满二叉树 \(T = T_1 \cdot T_2\) 的顶点个数 \(n(T) = 1 + n(T_1) + n(T_2)\)
定理 2:如果 \(T\) 为满二叉树,那么 \(n(T) \le 2^{h(T) + 1} - 1\)
Generalized Induction⚓︎
广义归纳法 (generalized induction)用于证明关于除了整数集外,也具有良序性的集合的结论。
🌰定义一个有序的 \(\mathbb{N} \times \mathbb{N}\),即非负整数的有序对。如果 \(x_1 < x_2\),或者 \(x_1 = x_2\) 且 \(y_1 < y_2\),那么 \((x_1, y_1) \le (x_2, y_2)\),这被称为词典序 (lexicographic ordering)( Chap 9 会讲到 )。它满足良序性,这意味着我们可以递归定义 \(a_{m, n}\),其中 \(m \in \mathbb{N}, n \in \mathbb{N}\),见下面的具体例子👇
Supplements(from Exercises)⚓︎
关于斐波那契数的一些性质 ( 以下 \(n\) 均为正整数 ):
- \(f_1^2 + f_2^2 + \dots + f_n^2 = f_nf_{n + 1}\)
- \(f_1 + f_3 + \dots + f_{2n-1} = f_{2n}\)
- \(f_{n+1}f_{n-1} - f_n^2 = (-1)^n\)
- \(f_0f_1 + f_1f_2 + \dots + f_{2n-1}f_{2n} = f_{2n}^2\)
- \(f_0 - f_1 + f_2 - \dots - f_{2n-1} + f_{2n} = f_{2n-1} - 1\)
- 令 \(\mathbf{A} = \begin{bmatrix}1 & 1 \\ 1 & 0\end{bmatrix}\),则 \(\mathbf{A}^n = \begin{bmatrix}f_{n + 1} & f_n \\ f_n & f_{n - 1}\end{bmatrix}\)
关于最大值和最小值函数的一些性质:
- \(\max(-a_1, -a_2, \dots, -a_n) = -\min(a_1, a_2, \dots, a_n)\)
- \(\max(a_1 + b_1, a_2 + b_2, \dots, a_n + b_n) \le \max(a_1, a_2, \dots, a_n) + \max(b_1, b_2, \dots, b_n)\)
- \(\min(a_1 + b_1, a_2 + b_2, \dots, a_n + b_n) \ge \min(a_1, a_2, \dots, a_n) + \min(b_1, b_2, \dots, b_n)\)
关于字符串:
- 字符串 \(w\) 的逆序 (reversal)记为 \(w^R\)
- \(w^i\):拼接\(i\) 个字符串 \(w\) 后形成的新字符串
性质:
- \((w_1w_2)^R = w_2^Rw_1^R\)
- \(l(w^i) = i \cdot l(w)\)
- \((w^R)^i = (w^i)^R\)
正整数 \(n\) 的分拆 (partition):将 \(n\) 表示为一些正整数的和,这些正整数的顺序并不重要。令 \(P_m\) 等于对于 \(m\) 不同分拆的个数,\(P_{m, n}\) 表示分拆出来的正整数不超过 \(n\),且对于 \(m\) 不同分拆的个数
- \(P_{m, m} = P_m\)
- \(P_{m, n} = \begin{cases}1 & \text{if } m = 1 \\ 1 & \text{if } n = 1 \\ P_{m, m} & \text{if } m < n \\ 1 + P_{m, m - 1} & \text{if } m = n > 1 \\ P_{m, n - 1} + P_{m - n, n} & \text{if } m > n > 1\end{cases}\)
阿克曼函数 (Achermann's funciton)
它在递归函数理论,以及研究包含集合合并的特定算法的复杂度 ( 比如并查集 ) 中发挥重要作用,定义如下:
性质 ( 下面的字母均表示非负整数 ):
- \(A(m, n + 1) > A(m, n)\)
- \(A(m + 1, n) \ge A(m, n)\)
- \(A(i, j) \ge j\)
关于对数 ( 以 2 为底 ):
叠对数 (iterated logarithm)\(\log^*n\):它的值为使 \(\log^{(k)}n \le 1\) 成立的最小的非负整数 \(k\)
将上面对数的定义推广至更一般的函数 \(f(n)\)(它是实数域上的单调递增函数)
叠函数 (iterated function)\(f^*_c\):它的值为使 \(f^{(k)}n \le c\) 成立的最小的非负整数 \(k\)
Recursive Algorithm⚓︎
如果一个算法通过将问题规模减少至拥有更小输入的相同问题,那么称这个算法是递归的 (resursive)
Proving Recursive Algorithms Correct⚓︎
通常,我们利用数学归纳法、强归纳法证明递归算法的正确性
Recursion and Iteration⚓︎
- 递归 (resursion) 法:通过连续减少计算规模,在更小的数字上求解函数
- 迭代 (iteration) 法:从一个或多个整数对应的函数值开始(基本情况
) ,然后连续使用递归定义,找到连续的更大的数对应的函数值
🌰找到第 \(n\) 个斐波那契数的算法
- 递归版本
- 迭代版本
通过这个例子,不难看出递归和迭代算法的特征:
- 对于每个递归算法,总有等价的迭代算法
- 递归算法相比迭代算法,通常更小、更优雅、更易于理解
- 然而,迭代算法在空间和时间上的效率往往高于递归算法
The Merge Sort⚓︎
因为课上没讲(应该不会在 dm 考到
) ,这里就直接贴上算法和定理,没有具体说明
算法实现:
引理 1:两个排好序的列表,分别有 \(m\) 和 \(n\) 个元素,将它们合并称一个有序列表所需的比较次数为 \(m + n - 1\) 次
定理 1:通过归并排序对有 \(n\) 个元素的列表排序所需的比较次数为 \(O(n \log n)\)
Supplements(from Exercises)⚓︎
快速排序 (quick sort):要对 \(a_1, a_2, \dots, a_n\) 排序,先找到 \(a_1\),然后形成两个子列表:第一个子列表中的所有元素小于 \(a_1\),第二个子列表中的所有元素大于 \(a_1\),并且分别对它们排好序。接着将 \(a_1\) 放入第一个子列表的末尾。递归重复上述步骤,直到所有子列表仅包含一项。最后通过有序地结合只包含一个元素的子列表,得到排好序的包含 \(n\) 个元素的列表
Program Correctness⚓︎
Program Verification⚓︎
如果一个程序对所有可能的输入,均产生正确的输出,那么称这个程序是正确的 (correct)
证明一个程序的正确性包含两个部分:
- 部分正确性 (partial correctness):程序终止时能够得到正确的答案
- 首断言 (initial assertion):必须有输入
- 末断言 (final assertion):必须有输出
- 程序总是能够终止
定义:一个程序,或者程序段 \(S\),当对于 \(S\) 的输入值,首断言 \(p\) 正确,且 \(S\) 终止,那么对于 \(S\) 的输出值,末断言 \(q\) 正确,称 \(S\) 关于 \(p\) 和 \(q\)部分正确 (partially correct),记作 \(p\{S\}q\)(这个记号被称为霍尔三元组 (Hoare triple))
Rules fo Inference⚓︎
运用推理规则 (rule of inference),将程序划分为一系列的子程序,然后证明每个子程序正确,以此证明程序的正确性。
具体说明:将程序 \(S\) 拆成两个子程序 \(S_1,S_2\),记作 \(S = S_1 ; S_2\)。假设 \(S_1\) 关于首断言 \(p\) 和末断言 \(q\) 的正确性,和 \(S_2\) 关于首断言 \(q\) 和末断言 \(r\) 的正确性已经建立。这表明:如果 \(p\) 为真且 \(S_1\) 得到执行并终止,那么 \(q\) 为真;如果 \(q\) 为真且 \(S_2\) 得到执行并终止,则 \(r\) 为真。这个规律被称为复合律 (composition rule),并记作:
Conditional Statements⚓︎
对于以下形式的程序段:
要验证该程序段关于首断言 \(p\) 和末断言 \(q\) 正确:
- 当 \(p\) 为真且condition也为真时,\(S\) 终止后,\(q\) 为真
- 当 \(p\) 为真且condition为假时,\(q\) 为真
因此我们得到以下推理规则:
对于以下形式的程序段:
我们得到以下推理规则:
Loop Invariants⚓︎
对于以下形式的程序段:
循环不变式 (loop invariant)\(p\):当 \(S\) 被执行时保持真值为真的断言
我们有以下推理规则:
Supplements(from Exercises)⚓︎
- 斐波那契数的一条性质:\(f_kf_n + f_{k+1}f_{n+1} = f_{n+k+1}\)
- 卢卡斯数 (Lucas numbers)的性质 (\(I_0 = 2,\ I_1 = 1,\ I_n = I_{n - 1} + I_{n - 2}, n = 2,3,4,\dots\))
- \(f_n + f_{n+2} = I_{n+1}\)
- \(I_0^2+I_1^2+\dots +I_n^2 = I_nI_{n+1}+2\)
- 麦卡锡 91 函数 (McCarthy 91 function) $$ M(n) = \begin{cases}n - 10 & \text{if } n > 100 \ M(M(n+11)) & \text{if } n \le 100\end{cases} $$
- 当一个集合的每个非空子集都有一个最小元素,那么称该集合是良序的 (well ordered)
- 包含所有括号平衡字符串 (balanced strings of parentheses)的递归定义:
- \(\lambda \in B\),\(\lambda\) 为空串
- \((x) \in B, xy \in B\),如果 \(x, y \in B\)
- 自我生成序列 (self-generating sequences):由简单的递推关系和规则产生的序列
- Golomb self-generating sequences
评论区




































