Chap 9 Relations⚓︎
约 7316 个字 预计阅读时间 37 分钟
核心知识
- 关系的基本概念
- 性质:自反性、对称性、反对称性、传递性
- 表示法:矩阵、有向图
- 闭包
- 重点关注传递闭包——Warshall 算法
- 包含多种性质的闭包
- 等价关系
- 等价类
- 分区
- 偏序
- 基本概念
- 哈斯图
- 极大、极小、最大、最小元素,上下界
- 格
- 拓扑排序
Relations and Their Properties⚓︎
令 \(A, B\) 为集合,从 \(A\) 到 \(B\) 的二元关系 (binary relation)是 \(A \times B\)(笛卡尔积)的子集。这个二元关系是一个包含有序对 (ordered pairs)的集合 \(R\).
- \(a\ R\ b\) 表示 \((a, b) \in R\)(被称为 \(a\) 关于 \(R\) 与 \(b\) 有关系)
- \(a \not{R} \ b\) 表示 \((a, b) \notin R\)
注:\(\emptyset\),\(A \times B\) 也是关系
Functions as Relations⚓︎
从 \(A\) 到 \(B\) 的函数\(f\) 为 \(A\) 中的每个元素赋予 \(B\) 中的唯一一个元素,不难看出 \(f\) 是 \(A \times B\) 的子集,所以它表示从 \(A\) 到 \(B\) 的关系。
关系是函数的一种泛化 (generalization),它能表示更多关于集合间的联系,比如它能表示函数所不能表示的一对多的联系
Relations on a Set⚓︎
定义:在集合 \(A\) 上的关系 (a relation on a set \(A\))\(R\) 是从 \(A\) 到 \(A\) 的关系,也就是 \(A \times A\) 的子集
如果 \(A\) 有 \(n\) 个元素,则共有 \(2^{n^2}\) 个对于 \(A\) 的关系
Properties of Relations⚓︎
⭐在集合 \(A\) 上的关系的一些性质:
- 自反性 (reflexive):\(\forall a \in A((a, a) \in R)\)
- 对称性 (symmetric):\(\forall a, b \in A((a, b) \in R \rightarrow (b, a) \in R)\)
-
反对称性 (antisymmetric):\(\forall a, b \in A((a, b) \in R \wedge (b, a) \in R) \rightarrow (a = b))\)
注:
- 对称性和反对称性不是对立的,一个关系可能同时具有对称性和反对称性
- 但如果一个关系存在形如 \((a, b), a \ne b\) 的有序对,那么它就不会同时具有这两个性质
-
传递性 (transitive):\(\forall a, b, c \in A(((a, b) \in R \wedge (b, c) \in R) \rightarrow (a, c) \in R)\)
如果 \(A\) 有 \(n\) 个元素,那么:
-
有 \(2^{n(n - 1)}\) 个自反的关系
证:\((a, a)\) 必须存在于关系中,其余 \(n(n - 1)\) 可在可不在
-
有 \(2^{\frac{n(n+1)}{2}}\) 个对称的关系
证:\((a, a)\) 可在可不在,剩下 \(n^2 - n\) 个有序对分成 2 半,\((i, j)\) 和 \((j, i)\) 可同时在,同时不在,因此加起来有 \(2^n + 2^{\frac{n^2 - n}{2}}\) 种
-
有 \(2^n \times 3^{\frac{n^2 - n}{2}}\) 个反对称的关系
证:类似证对称关系,除了 \((i, j)\) 和 \((j, i)\) 不能同时在,因此对于一对有序对有 3 种选择
-
没有通式来表达传递的关系个数 \(T(n)\),已知的 \(T(n)\) 为 \(0 \le n \le 18\)
注:这么讲有些抽象,用 9.3 节介绍的零一矩阵来表示就很直观了
思考
NO.
若 \(\forall a \exists b (aRb)\):
-
根据对称性,有 \(bRa\);
-
根据传递性,因为 \(aRb\) 且 \(bRa\),所以 \(aRa\)。
于是 \(\forall a (aRa)\),我们顺利地得到了自反性。
但是,考虑 \(\exists a \forall b (a\not{R}b)\) 的情况,也就是说 \(a\) 和谁都没有关系,是孤立的;这样就无从得知 \(aRa\) 了。
一个例子是以下 0-1 矩阵所表示的关系:
我们可以比较直观地看到,它具有对称性与传递性;然而它并没有自反性。
在此感谢 @inuEbisu 同学的补充!
Combining Relations⚓︎
关系也能像一般的集合那样被结合,回忆一些集合的运算:并集 \(\cup\)、交集 \(\cap\)、差集 \(-\)、对称差集 \(\oplus\),补集 \(\overline{}\)
关系也可以像函数一样被复合 (composite):对于一个从 \(A\) 到 \(B\) 的关系 \(R\),和一个从 \(B\) 到 \(C\) 的关系 \(S\),\(R\) 和 \(S\) 的复合关系\(S \circ R\) 由有序对 \((a, c), a \in A, c \in C\) 构成,且存在 \(b \in B\),使得 \((a, b) \in R, (b, c) \in S\)。
计算两个关系的复合时,我们可以先找到某个元素,它既出现在第一个关系里某个有序对的第二个位置,也出现在第二个关系里某个有序对的第一个位置。
🌰
通过画一张有向图(后面很快会讲到
注意:\(S \circ R \ne R \circ S\)
定义:令 \(R\) 是在集合 \(A\) 上的关系,幂 \(R^n, n = 1, 2, 3, \dots\) 被递归定义为: $$ R^1 = R \quad R^{n+1} = R^n \circ R $$ 定理 1:当且仅当 \(R^n \subseteq R, n = 1, 2, 3, \dots\) 时,在集合 \(A\) 上的关系 \(R\) 具有传递性
- 如果 \(R\) 具有自反性,则 \(R^n\) 也具有自反性
- 如果 \(R\) 具有对称性,则 \(R^n\) 也具有对称性
关系运算的性质:
假设 \(R, S\) 是从 \(A\) 到 \(B\) 的关系,\(T\) 是从 \(B\) 到 \(C\) 的关系,\(P\) 是从 \(C\) 到 \(D\) 的关系,那么:
- \((R \cup S)^{-1} = R^{-1} \cup S^{-1}\)
- \((R \cap S)^{-1} = R^{-1} \cap S^{-1}\)
- \((\overline{R})^{-1} = \overline{R^{-1}}\)
- \((R - S)^{-1} = R^{-1} - S^{-1}\)
- \((A \times B)^{-1} = B \times A\)
- \(\overline{R} = A \times B - R\)
- \((S \circ T)^{-1} = T^{-1} \circ S^{-1}\)
- \((R \circ T) \circ P = R \circ (T \circ P)\)
- \((R \cup S) \circ T = R \circ T \cup S \circ T\)
Supplements(from Exercises)⚓︎
- 非自反性 (irreflexive):\(\forall a \in A((a, a) \notin R)\)
-
不对称性 (asymmetric):\(\forall a \in A \forall b \in A((a, b) \in R \rightarrow (b, a) \notin R)\)
注:不要跟前面提到的反对称性 (antisymmetric)弄混淆
-
令 \(R\) 为从 \(A\) 到 \(B\) 的关系,那么从 \(B\) 到 \(A\)逆关系 (inverse relation)\(R^{-1}\),表示 \(\{(b,a)\ |\ (a, b) \in R\}\)
- 补关系 (complementary relation)\(\overline{R}\) 表示 \(\{(a, b)\ |\ (a, b) \notin R\}\)
n-ary Relations and Their Applications⚓︎
\(n\)-ary Relations⚓︎
定义:令 \(A_1, A_2, \dots, A_n\) 为集合,这些集合的 \(n\) 元关系 (\(n\)-ary relation)是 \(A_1 \times A_2 \times \dots \times A_n\) 的子集。其中 \(A_1, A_2, \dots, A_n\) 被称作域 (domain),\(n\) 被称为阶 (degree)
Databases and Relations⚓︎
Operations on \(n\)-ary Relations⚓︎
SQL⚓︎
Association Rules from Data Mining⚓︎
Representing Relations⚓︎
表示关系的方法:
- 列出所有有序对
- 通过谓词,用集合构建规则
- 二维表
- 连接矩阵 / 零一矩阵 (connection matrix / zero-one matrix)
- 有向图 (directed graph / digraph)
Representing Relations Using Matrices⚓︎
假设 \(R\) 是从 \(A = \{a_1, a_2, \dots, a_m\}\) 到 \(B = \{b_1, b_2, \dots, b_n\}\) 的关系,那么 \(R\) 可被表示为零一矩阵 \(M_R = [m_{ij}]\),其中
对于在集合上的关系,它的零一矩阵是一个方阵,我们可以用方阵直观反映前面提到的那些性质:
- 自反性:\(\begin{bmatrix}1&&&&&\\&1&&&&\\&&1&&&\\&&&\ddots&&\\&&&&1&\\&&&&&1\end{bmatrix}\),这里没有表示主对角线外的元素
- 对称性和反对称性:
注意到对称性分 2 种情况,反对称性分 3 种情况
- 传递性:\(\overline{(m_{ij} \wedge m_{jk})} \vee m_{ik} = 1\)
注:利用 \(p \rightarrow q \equiv \overline{p} \vee q\)
利用布尔运算中的并 (join)和交 (meet),我们可以找到两个关系的并集和交集的零一矩阵。记关系 \(R_1, R_2\) 的零一矩阵分别为 \(M_{R_1}, M_{R_2}\),则: $$ M_{R_1 \cup R_2} = M_{R_1} \vee M_{R_2} \quad M_{R_1 \cap R_2} = M_{R_1} \wedge M_{R_2} $$ $$ M_{\overline{R}} = [\overline{c_{ij}}] \quad M_{R_1 - R_2} = M_{R_1 \cap \overline{R_2}} = [c_{ij} \wedge \overline{d_{ij}}] $$
利用布尔积,我们可以找到复合关系的零一矩阵: $$ M_{S \circ R} = M_R \odot M_S $$ $$ M_{R^n} = M_R^{[n]} $$
注:这个式子需要自己理解一下,因为并不是很直观
Representing Relations Using Digraphs⚓︎
有向图 (directed graph/digraph):由包含顶点 (vertice/nodes)的集合 \(V\),以及包含 \(V\) 中元素的有序对 ( 被称为边 (edge/arc)) 的集合 \(E\) 构成。对于边 \((a, b)\),顶点 \(a\) 被称为这条边起点 (initial vertex),顶点 \(b\) 被称为这条边的终点 (terminal vertex)
边 \((a, a)\) 被称为环 (loop)
如果用有向图表示在集合 \(A\) 上的关系 \(R\),\(A\) 中的元素作为顶点,有序对 \((a, b) \in R\) 作为边。因此,我们建立起在 \(A\) 上的关系与 \(A\) 的有向图之间的双射关系。
注:有向图也可以表示从 \(A\) 到 \(B\) 的关系,但如果 \(A = B\),它所反映的内涵就不如表示一个集合时那样清楚
通过有向图反映的性质:
- 自反性:有向图的每个顶点都有一个环
-
对称性:两个不同的顶点间要么没有边,要么同时有 2 条双向的边
注:无向图 (undirected graph)的表示方法也可以体现对称性
-
反对称性:两个不同的顶点间不能同时出现 2 条双向的边
- 传递性:当存在 \(x\) 到 \(y\) 的边,以及 \(y\) 到 \(z\) 的边,那么也存在从 \(x\) 到 \(z\) 的边(形成一个三角形)
Closures of Relations⚓︎
Different Types of Closures⚓︎
引入:如果 \(R\) 是在集合 \(A\) 上的关系,那么它可能有,也可能没有性质 \(P\),比如自反性、对称性或传递性。如果没有的话,我们希望找到最小的在集合 \(A\) 上的关系 \(S\),它满足性质 \(P\) 且包括 \(R\)
定义:如果 \(R\) 是在集合 \(A\) 上的关系,那么 \(R\) 关于性质 \(P\) 的闭包 (closure)( 如果存在的话 ),它满足性质 \(P\) 且包括 \(R\),而且是所有包含 \(R\) 且满足 \(P\) 的 \(A \times A\) 的子集
注:
- 关系 \(R\) 关于性质 \(P\) 的闭包是唯一的,且是最小的满足性质 \(P\) 且包括 \(R\) 的关系
- 对于某些性质 \(P\),某个关系关于 \(P\) 的闭包可能不存在
类别:
- 自反闭包 (reflexive closure):记作 \(r(R)\)
相关知识
集合 \(A\) 上的关系 \(R\) 的自反闭包为 \(R \cup \Delta\),其中 \(\Delta = \{(a, a)\ |\ a \in A\}\),称 \(A\) 上的对角关系 (diagonal relation)
- \(\Delta\) 中的元素应当是 \(R\) 不具备的
- 用有向图表示:使所有的节点都有环
- 用矩阵表示:让主对角线上的元素都为 1,即 \(\mathbf{M}_{r(R)} = \mathbf{M}_R \vee \mathbf{I}_R\)
- 对称闭包 (symmetric closure):记作 \(s(R)\)
相关知识
集合 \(A\) 上的关系 \(R\) 的对称闭包为 \(R \cup R^{-1}\),其中 \(R^{-1} = \{(b, a)\ |\ (a, b) \in R\}\),是 \(R\) 的逆关系
用矩阵表示:\(\mathbf{M}_{s(R)} = \mathbf{M}_R \vee \mathbf{M}_R^t\)
- 传递闭包 (transitive closure):记作 \(t(R)\)
传递闭包的求解有些复杂,过会儿会详细阐述
Paths in Directed Graphs⚓︎
定义:有向图 \(G\) 中,从 \(a\) 到 \(b\) 的路径 (path),是 \(G\) 上一系列的边 \((x_0, x_1), (x_1, x_2), (x_2, x_3), \dots, (x_{n-1}, x_n)\),其中 \(n\) 为非负整数,\(x_0 = a, x_n = b\)。这条路径记作 \(x_0, x_1, x_2, \dots, x_{n-1}, x_n\),长度 (length)为 \(n\)。定义边的空集长度为 0。长度 \(n \ge 1\),且始末顶点相同 (\(x_0 = x_n\)) 的路径被称为环 (circuit/cycle)。
将有向图关于路径的概念引申至关系:在关系 \(R\) 中,从 \(a\) 到 \(b\) 的路径是指一系列的元素 \(a, x_1, x_2, \dots, x_{n-1}, b\),满足 \((a, x_1) \in R, (x_1, x_2) \in R, \dots, (x_{n - 1}, b) \in R\)
定理 1:令 \(R\) 为在集合 \(A\) 上的关系,当且仅当 \((a, b) \in R^n\) 时,存在一条长度为 \(n\),从 \(a\) 到 \(b\) 的路径,其中 \(n\) 为正整数
Transitive Closures⚓︎
定义:令 \(R\) 为在集合 \(A\) 上的关系。连通关系 (connectivity relation)\(R^*\) 由 \((a, b)\) 组成,这些对满足存在一条从 \(a\) 到 \(b\),长度至少为 1 的路径
结合上面的定理 1,易得:\(R^*= \bigcup\limits_{n=1}^\infty R^n\)
定理 2:\(R\) 的传递闭包 \(t(R)\) = 连通关系 \(R^*\)
补充
当且仅当 \(R\) 具有传递性时,\(R\) = \(R\) 的传递闭包
引理 1:令 \(A\) 为有 \(n\) 个元素的集合,\(R\) 为在 \(A\) 上的关系。
- 如果在 \(R\) 中存在一条长度至少为 1 的从 \(a\) 到 \(b\) 的路径,那么路径的长度不超过 \(n\)。
- 如果 \(a \ne b\),且在 \(R\) 中存在一条长度至少为 1 的从 \(a\) 到 \(b\) 的路径,那么路径的长度不超过 \(n - 1\)
由引理 1,我们可以得到: $$ t(R) = R^*= R \cup R^2 \cup R^3 \cup \dots \cup R^n $$
定理 3:令 \(\mathbf{M}_R\) 为 \(n\) 个元素的集合的关系 \(R\) 的零一矩阵,那么传递闭包 \(R^*\) 的零一矩阵为: $$ \mathbf{M}_{R^*} = \mathbf{M}_R \vee \mathbf{M}_R^{[2]} \vee \mathbf{M}_R^{[3]} \dots \vee \mathbf{M}_R^{[n]} $$
🌰:
算法实现:
分析:
- 所有布尔积的运算次数:\((n-1) \cdot n^2(2n - 1)\)
- 所有取交 (\(\vee\)) 的运算次数:\((n - 1)n^2\)
\(\therefore\) 时间复杂度 = \(O(n^4)\)
Warshall's Algorithm⚓︎
显然,上述算法的实现效率较低,因此这里介绍一种更快的算法——Warshall's algorithm
注:这个算法更知名的名称是弗洛伊德算法 (Floyd algorithm)——没错,就是那个用来求最短路径的那个算法!因此这个算法在图那个章节中可能还会再用到,现在我们利用这个算法来求的是 \(R\) 的传递闭包。在正式介绍算法之前,先引入一些概念:
假设 \(R\) 是 \(n\) 个元素的集合的关系,令 \(v_1, v_2, \dots, v_n\) 为 \(n\) 个元素的任意排列。路径 \(a, x_1, x_2, \dots, x_{m-1}, b\) 的内部顶点 (interior vertices)是 \(x_1, x_2, \dots, x_{m-1}\)
❗注:虽然内部顶点不包含路径上始末两个顶点,然而,如果起点或终点在中间还出现过的话,则它们也算内部顶点
Warshall 算法需要一系列的零一矩阵 \(\mathbf{W}_0, \mathbf{W}_1, \dots, \mathbf{W}_n\),其中:
- \(\mathbf{W}_0 = \mathbf{M}_R\)
- \(\mathbf{W}_n = \mathbf{M}_{R^*}\)
- \(\mathbf{W}_k = [w_{ij}^{(k)}]\),其中
所以,\(\mathbf{W}_n\) 就是我们要得到的矩阵。
🌰
通过这个例子,不难发现:要计算 \(\mathbf{W}_k\),我们可以直接在 \(\mathbf{W}_{k-1}\) 的基础上得到,只需再讨论两种情况,如图所示:
引理 2:令 \(\mathbf{W}_k = [w_{ij}^{[k]}]\)(上面已描述过
算法实现:
分析: 从\(\mathbf{W}_{k-1}\)中得到\(\mathbf{W}_k\)需要\(2n^2\)次操作
\(\therefore\) 总的操作数:\(2n^3\) \(\rightarrow\) 时间复杂度:\(O(n^3)\)
思考:如何求满足多个性质的闭包?
先求对称 / 反对称闭包,再求传递闭包,最后求自反闭包
Equivalence Relations⚓︎
Equivalence Relations⚓︎
定义:
- 集合 \(A\) 的某个关系如果同时具备自反性、对称性和传递性,称这种关系为等价关系 (equivalence relation)
- 如果两个元素 \(a, b\) 关于某个等价关系是相关的,则称它们是等价的 (equivalent),记作 \(a \sim b\)
Equivalence Classes⚓︎
定义:令 \(R\) 为集合 \(A\) 上的等价关系,所有与集合中的元素 \(a\) 相关的元素构成的集合被称为 \(a\) 的等价类 (equivalence class),记作 \([a]_R\)。如果只考虑一个关系,则可以简写为 \([a]\)。
如果 \(b \in [a]_R\),则称 \(b\) 为这个等价类的代表 (representative),因此等价类中的每个元素都可以作为这个等价类的代表。
Equivalence Classes and Partitions⚓︎
利用等价类,我们可以将一个集合划分为不相交的非空子集
定理 1:令 \(R\) 为集合 \(A\) 的等价关系,以下关于 \(A\) 中元素 \(a, b\) 的几条语句是等价的:
定义:集合 \(S\) 的分区 (partition)是 \(S\) 中一组不相交的非空子集,\(S\) 是它们的并集。满足:
- \(A_i \ne \emptyset \text{ for } i \in I\)
- \(A_i \cap A_j = \emptyset \text{ when } i \ne j\)
- \(\bigcup\limits_{i \in I} A_i = S\)
注:\(I\) 是索引集 (index set),顾名思义,它存储某个集合的元素的索引
定理 2:
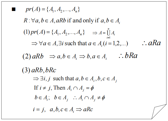
- 令 \(R\) 为集合 \(S\) 的等价关系,那么 \(R\) 的等价类构成了 \(S\) 的分区
- 反过来,给定集合 \(S\) 的分区\(\{A_i\ |\ i \in I\}\),存在等价关系 \(R\),它的等价类包括集合 \(A_i, i \in I\)
简单理解:等价类 \(\leftrightarrow\) 分区
The Operations of Equivalence Relations⚓︎
如果 \(R_1, R_2\) 是集合 \(A\) 的等价关系,则
- \(R_1 \cap R_2\) 是集合 \(A\) 的等价关系
- \(R_1 \cup R_2\) 是集合 \(A\) 的自反、对称关系
- \((R_1 \cup R_2)^*\) 是集合 \(A\) 的等价关系
Supplements(from Exercises)⚓︎
- 当每个在分区 \(P_1\) 的集合是分区 \(P_2\) 中某个集合的子集,称 \(P_1\) 是 \(P_2\) 的精炼 (refinement)
- 令 \(p(n)\) 代表有 \(n\) 个元素的集合的不同等价关系的数量(即分区的数量
) ,则: $$ p(n) = \sum\limits_{j = 0}^{n - 1}C(n - 1, j)p(n - j - 1), \quad p(0) = 1 $$注:\(p(n)\) 被称为贝尔数 (Bell numbers)
Partial Orderings⚓︎
定义:集合 \(S\) 上的关系 \(R\),如果它具有自反性、反对称性和传递性,则它被称为偏序 (partial ordering/partial order)。集合 \(S\) 和它的偏序 \(R\) 统被称为偏序集 (partially ordered set/poset),记作 \((S, R)\)。\(S\) 中的成员被称为偏序集的元素 (elements)
🌰:
- 大于等于关系(\(\ge\)) 是整数集的偏序
- 整除关系(|) 是正整数集的偏序
- 包含关系(\(\subseteq\)) 是集合 \(S\) 的幂集的偏序
习惯上,我们用:
- \(a \preceq b\) 来表示在任意偏序集 \((S, R)\) 内的 \((a, b) \in R\)
- \(a \prec b\) 表示 \(a \preceq b \wedge a \ne b\)
当 \(a, b\) 是偏序集 \((S, \preceq)\) 中的元素时,不一定要满足 \(a \preceq b\) 或者 \(b \preceq a\)。下面给出相关定义:
- 偏序集 \((S, \preceq)\) 中的元素 \(a, b\) 如果满足 \(a \preceq b\) 或者 \(b \preceq a\),称它们是可比的 (comparable)
- 如果既不满足 \(a \preceq b\),也不满足 \(b \preceq a\),称它们是不可比的 (incomparable)
定义:如果对于某个偏序集 \((S, \preceq)\),\(S\) 中的任意两个元素是可比的,称 \(S\) 为全序集 (totally/linearly ordered set),\(\preceq\) 被称为全序 (total/linear order)。全序集又被称为链 (chain)
🌰:偏序集 \((\mathbf{Z}, \le)\) 是全序的,而偏序集 \((\mathbf{Z}^+, |)\)不是全序的
定义:如果偏序集 \((S, \preceq)\) 满足 :
- \(\preceq\) 是全序
- \(S\) 中的每个非空子集有一个最小元素
称 \((S, \preceq)\) 是良序集 (well-ordered set)
🌰:正整数的有序对的集合 \(\mathbf{Z}^+ \times \mathbf{Z}^+\),有关系 \((a_1, a_2) \preceq (b_1, b_2)\),表示:
- \(a_1 < b_1\)
- 或者 \(a_1 = b_1 \wedge a_2 \le b_2\)
(即后面讲到的词典序
定理 1——良序归纳法原则 (THE PRINCIPLE OF WELL-ORDERED INDUCTION):假设 \(S\) 是一个良序集,如果满足:
归纳步骤 (INDUCTIVE STEP):对于每个 \(y \in S\),如果对于所有 \(x \in S\) 且 \(x \prec y\),\(P(x)\) 为真,则 \(P(y)\) 为真
那么对于所有 \(x \in S\),\(P(x)\) 为真
证明
假设不满足对于所有 \(x \in S\),\(P(x)\) 为真。那么就存在元素 \(y \in S\),\(P(y)\) 为假。因此集合 \(A = \{x \in S\ |\ P(x) \text{ is false}\}\) 非空。因为 \(S\) 是良序的,所以 \(A\) 有最小的元素 \(a\)。将 \(a\) 作为 \(A\) 中的最小元素,我们知道对于所有 \(x \in S\) 且 \(x \prec a\),\(P(x)\) 为真。通过归纳步骤,我们知道 \(P(a)\) 也为真,这与我们的假设矛盾。因此对于所有 \(x \in S\),\(P(x)\) 为真。
注:
Lexicographic Order⚓︎
在两个偏序集 \((A_1, \preceq_1)\) 和 \((A_2, \preceq_2)\) 的笛卡尔积上构造偏序:
在集合 \(A_1 \times A_2\) 上的词典序 (lexicographic ordering)\(\preceq\) 满足:若 \((a_1, a_2) \prec (b_1, b_2)\),则
- \(a_1 \prec_1 b_1\)
- 或者 \(a_1 = b_1 \wedge a_2 \prec_2 b_2\)
对于 \(n\) 个偏序集 \((A_1, \prec_1), (A_2, \prec_2), \dots, (A_n, \prec_n)\) 的笛卡尔积 \(A_1 \times A_2 \times \dots \times A_n\),它的词典序 \(\preceq\) 满足:若\((a_1, a_2, \dots, a_n) \prec (b_1, b_2, \dots, b_n)\),则
- \(a_1 \prec_1 b_1\)
- 或者存在整数 \(i > 0\),使得 \(a_1 = b_1, \dots, a_i = b_i\),且 \(a_{i+1} \prec_{i+1} b_{i+1}\)
我们也可以定义字符串上的词典序:考虑在偏序集 \(S\) 上的两个字符串 \(a_1a_2\dots a_m\) 和 \(b_1b_2 \dots b_n\),假设它们不相同。令 \(t = \min(m, n)\),词典序为:若 \(a_1a_2 \dots a_m\) 小于 \(b_1b_2 \dots b_n\),充要条件为:
- \((a_1, a_2, \dots, a_t) \prec (b_1, b_2, \dots, b_t)\)
- 或者 \((a_1, a_2, \dots, a_t) = (b_1, b_2, \dots, b_t)\) 且 \(m < n\) 其中\(\prec\)表示\(S^t\)的词典序。
Hasse Diagrams⚓︎
化简表示偏序的有向图——哈斯图 (Hasse diagram)
化简步骤 ( 假设某个有限的偏序集 \((S, \preceq)\)):
- 先画出偏序的有向图
- 因为偏序是自反的,所以每个顶点都会有一个环\((a, a)\),将这些环全部移除
- 由于其他边的存在和传递性,我们需要移除所有多余的边,即当存在元素 \(z \in S\) 使得 \(x \prec z\) 且 \(z \prec y\) 时,移除边 \((x, y)\)
- 对所有边重新排序,使得起点在终点的下面,并且移除所有箭头 ( 因为现在所有的边都是向上指的,方向已知 )
令 \((S, \preceq)\) 是一个偏序集,对于 \(x, y \in S\),如果 \(x \prec y\),且不存在 \(z \in S\) 满足 \(x \prec z \prec y\),称 \(y\)覆盖 (cover)\(x\)。由对 \((x, y)\) 的集合构成的集合若满足 \(y\) 覆盖 \(x\),被称为 \((S, \preceq)\) 的覆盖关系 (covering relation)。
观察发现,\((S, \preceq)\) 的哈斯图中向上指的边,与 \((S, \preceq)\) 的覆盖关系相对应。因此,我们可以从覆盖关系中还原它的偏序集,因为偏序集是覆盖关系的自反传递闭包。这告诉我们可以从哈斯图中构造偏序。
Maximal and Minimal Elements⚓︎
对于偏序集 \((S, \preceq)\) 中的元素 \(a\):
- 如果不存在 \(b \in S\),满足 \(a \prec b\),则称 \(a\) 为极大元素 (maximal)
- 如果不存在 \(b \in S\),满足 \(b \prec a\),则称 \(a\) 为极小元素 (minimal)
注:
- 在哈斯图中,它们分别是最顶部( 上面没有顶点 ) 和最底部( 下面没有顶点 ) 的元素
- 极大元素和极小元素可以有多个
- 如果对于所有 \(b \in S\),满足 \(b \preceq a\),则称 \(a\) 为最大元素 (greatest element)
- 如果对于所有 \(b \in S\),满足 \(a \preceq b\),则称 \(a\) 为最小元素 (least element)
注:若存在最大 / 小元素,则它是唯一的
🌰:
对于偏序集 \((S, \preceq)\) 的子集 \(A\),如果 \(u, l \in S\),满足 \(\forall a \in A\):
- \(a \preceq u\ \Rightarrow\) \(u\) 被称为 \(A\) 的上界 (upper bound)
-
\(l \preceq a\ \Rightarrow\) \(l\) 被称为 \(A\) 的下界 (lower bound)
-
如果 \(x\) 是 \(A\) 的上界,且小于任何其他的 \(A\) 的上界,称 \(x\) 为最小上界 (least upper bound),记作 lub(A)
- 如果 \(y\) 是 \(A\) 的下界,且大于任何其他的 \(A\) 的下界,称 \(y\) 为最大下界 (greatest lower bound),记作 glb(A)
注:若存在最小上界或最大下界,则它们是唯一的
Lattices⚓︎
格 (lattice):每对元素都有最小上界和最大下界的偏序集
注:由于最小上界和最大下界是唯一的,因此若存在多个最小上界或最大下界,那么该偏序集不是格
Topological Sorting⚓︎
对于某个全序 \(\preceq\) 和偏序 \(R\),如果当 \(a\ R\ b\) 时,\(a \preceq b\),则称 \(\preceq\) 与 \(R\) 是兼容的 (compatible)
拓扑排序 (topological sorting):从偏序中构建一个可兼容的全序
引理 1:每个有限非空偏序集 \((S, \preceq)\) 至少有一个最小元素
证明
选择 \(S\) 中的某个元素 \(a_0\),
- 如果 \(a_0\) 不是最小的,则存在元素 \(a_1\),使得 $a_1 \prec a_0
- 如果 \(a_1\) 不是最小的,则存在元素 \(a_2\),使得 \(a_2 \prec a_1\)
- \(\dots\)
- 如果 \(a_n\) 不是最小的,则存在元素 \(a_{n+1}\),使得 \(a_{n+1} \prec a_n\) 因为偏序集中的元素个数是有限的,因此最终总能找到最小元素\(a_n\)
如何进行拓扑排序 ( 在偏序集 \((A, \preceq)\) 中找到全序 )?
- 挑选最小元素 \(a_1\)(由引理 1,一定存在最小元素)
- 此时 \((A - \{a_1\}, \preceq)\) 还是偏序集,如果它是非空的,从中挑选最小的元素 \(a_2\)
- 此时 \((A - \{a_1, a_2\}, \preceq)\) 还是偏序集,如果它是非空的,从中挑选最小的元素 \(a_3\)
- \(\dots\)
- 只要元素还存在,从 \(A - \{a_1, a_2, \dots, a_k\}\) 中挑选最小元素 \(a_{k+1}\)
- 由于 \(A\) 是有限集,所以该过程最终一定会终止。最后我们得到序列 \(a_1, a_2, \dots, a_n\)。全序 \(\preceq _t\) 为:\(a_1 \prec_t a_2 \prec_t \dots \prec_t a_n\)。该全序与原来的偏序兼容。
更简单的理解
画一张偏序集的哈斯图,从下面开始,每次删除一个最小的顶点,以及与它关联的边,保证不破坏原来哈斯图的偏序,直到所有的顶点和边均被删完,最后得到的删除顶点的序列即为我们要找的全序。
算法实现:
Supplements(from Exercises)⚓︎
- 令 \((S, R)\) 为偏序集,若 \(R^{-1}\) 为 \(R\) 的逆,则 \((S, R^{-1})\) 被称为 \((S, R)\) 的对偶 (dual),它也是偏序集
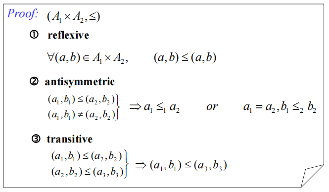
- 假设 \((S, \preceq_1)\) 和 \((T, \preceq_2)\) 为偏序集,当 \((s, t) \preceq (u, v)\) 时 \((S \times T, \preceq)\) 为偏序集的充要条件是:\(s \preceq_1 u\) 且 \(t \preceq_2 v\)
- 如果偏序集 \((S, R)\) 是格,则它的对偶偏序集 \((S, R^{-1})\) 也是格
- 集合 \(S\) 中所有分区构成的集合,它的关系 \(P_1 \preceq P_2\) 满足 \(P_1\) 是 \(P_2\) 的精炼 (refinement),则它们构成了一个格
- 所有全序集是格
- 如果偏序集 \((R, \preceq)\) 中没有无限增长的元素序列 ( 即不存在 \(\dots \prec x_n \prec \dots \prec x_2 \prec x_1\)),称它是良基的 (well-founded)
- 如果 \(\forall x, y \in S\) 且 \(x \prec y\),存在 \(x \in R\) 使得 \(x \prec z \prec y\),则称偏序集 \((R, \preceq)\) 是稠密的 (dense)
Supplements(from Exercises)⚓︎
- 假设 \(R_1, R_2\) 是集合 \(A\) 上的自反关系,\(R_1 \oplus R_2\) 是非自反的
- \((a\ R\ b) \wedge (b\ R\ c) \rightarrow c\ R\ a\),称 \(R\) 是有循环的 (circular)。当且仅当 \(R\) 为等价关系时,\(R\) 即自反又有循环
- 假设 \(R, S\) 为集合 \(A\) 上的关系,且 \(R \subseteq S\),使得 \(R, S\) 关于性质 \(P\) 的闭包均存在,则 \(R\) 关于 \(P\) 的闭包是 \(S\) 关于 \(P\) 的闭包的子集
- 偏序集上的某个子集
- 若它的任意两个元素都是可比的,则该子集被称为链 (chain)。即:\((A, \preceq)\) 是偏序集,\(B \subseteq A\),若 \((B, \preceq)\) 为全序集,则 \(B\) 被称为 \((A, \preceq)\) 的链
- 链的长度:\(|B|\)(B 为有限集)
- 若它的任意两个元素都是不可比的,则该子集被称为反链 (antichain)。即:即:\((A, \preceq)\) 是偏序集,\(B \subseteq A\),若 \(\forall a, b \in B(a \ne b), (a, b) \notin R\) 且 \((b, a) \notin R\),则 \(B\) 被称为 \((A, \preceq)\) 的反链
- 在有限偏序集 \((S, \preceq)\) 中的每个最大链( 即不是更大的链的子集的链 ) 包含 \(S\) 中最小的元素
- 每个有限偏序集能够被分成 \(k\) 条链,其中 \(k\) 这个偏序集中反链的最大个数
- 假设 \((S, \preceq)\) 是良基偏序集,良基归纳法 (the principle of well-founded induction): $$ P(x) \text{ is true for all } x \in S \text{ if } \forall x (\forall y(y \prec x \rightarrow P(y)) \rightarrow P(x)) $$ 其中,良基归纳法不需要基本情况的说明,即当 \(\forall x (\forall y(y \prec x \rightarrow P(y)) \rightarrow P(x))\) 时,对于所有最小元素 \(u\),\(P(u)\) 为真
- 如果集合 \(A\) 上的关系 \(R\) 具有自反性和传递性,称 \(R\) 为拟序 (quasi-ordering)
- 若 \(R\) 为集合 \(A\) 的拟序,则 \(R \cap R^{-1}\) 为等价关系
- 令 \(R\) 为拟序,\(S\) 为等价类 \(R \cap R^{-1}\) 的集合上的关系,使得 \((C, D) \in S\),其中 \(C, D\) 是 \(R\) 的等价类,当且仅当 \(c \in C, d \in D\),使得 \((c, d) \in R\)。此时 \(S\) 为偏序
- 令 \(L\) 为格,定义交(meet, \(\wedge\)) 和并(join, \(\vee\)) 为:\(x \wedge y = \text{glb}(x, y),\ x \vee y = \text{lub}(x, y)\)
- 交换律:\(x \wedge y = y \wedge x, \quad x \vee y = y \vee x\)
- 结合律:\((x \wedge y) \wedge z = x \wedge (y \wedge z), \quad (x \vee y) \vee z = x \vee (y \vee z)\)
- 吸收律:\(x \wedge (x \vee y) x, \quad x \vee (x \wedge y) = x\)
- 幂等律:\(x \wedge x = x, \quad x \vee x = x\)
- \(x \vee y = y \leftrightarrow x \wedge y = x\)
- 格 \(L\) 如果有上界,记作 1,使得 \(\forall x \in L, x \preceq 1\);且有下界,记作 0,使得 \(\forall x \in L, 0 \preceq x\),则称 \(L\) 是有界的 (bounded)
- 分配律不一定成立:\(x \vee (y \wedge z) = (x \vee y) \wedge (x \vee z), \quad x \wedge (y \vee z) = (x \wedge y) \vee (x \wedge z)\)
- 格 \((P(S), \subseteq)\) 是可分配的,其中 \(P(S)\) 是有限集的幂集
- 有界格 \(L\)( 上界为 1,下界为 0) 上的元素 \(a\) 的补 (complement)为 \(b\),使得 \(a \vee b = 1\) 且 \(a \wedge b = 0\)。如果格中的每个元素都存在补,则称格是可补的 (complemented)
- 格 \((P(S), \subseteq)\) 是可补的,其中 \(P(S)\) 是有限集的幂集
- 若 \(L\) 是有限可分配的格,则 \(L\) 的元素至多有一个补
评论区





















































