跳转至

Chap 8 Advanced Counting Techniques⚓︎

5913 个字 预计阅读时间 30 分钟

核心知识
  • 求解线性齐次 / 非齐次递推关系
  • 生成函数:计数、求解递推关系 ...
  • 容斥原理(的推广)
    • 计算满射函数的个数
    • 错排

Applications of Recurrence Relations⚓︎

Modelling with Recurrence Relations⚓︎

回顾:

例子

看到 "Total pairs" 那列数的特征,不难发现这是一个斐波那契数,因此递推关系为:

\[ f_n = \begin{cases}f_{n - 1}+f_{n-2} & \text{if } n \ge 3 \\ 1 & \text{if } n = 1 \text{ or } n = 2\end{cases} \]

其中,\(f_{n - 1}\) 表示上个月已有的兔子,\(f_{n - 2}\) 表示具有生育能力 (2 个月及以上 ) 的兔子繁殖的后代,它们的总和即为这个月的兔子总数

解:完成这一目标分为三步

  • 将上面的 \(n - 1\) 个盘子移到第三个销钉上 (\(H_{n - 1}\) )
  • 将最大的盘子移到第二个销钉上 (1 )
  • 最后将那 \(n - 1\) 个盘子移到第二个销钉上 (\(H_{n - 1}\) )

因此,我们得到递推关系:\(H_n = 2H_{n - 1} + 1\)

初始条件:\(H_1 = 1\)

最后,我们可以得到 \(H_n = 2^n - 1\)

注:汉诺塔问题有多种变种问题,其中较为知名的是Reve's puzzle:本质上是有四个销钉的汉诺塔问题 ( 还是原来的那套规则 )。虽然没有人能够得到求解具有 \(p\) 个销钉的泛化汉诺塔问题的最小移动步数的通法,但是有人已经证明有 4 个销钉的汉诺塔问题的算法。

某个变种 ( 来自课后习题 )

解:分为 2 种情况:

  • 1 结尾的 n 位位串:只要在长度为 \(n-1\) 的位串末尾添加 1 即可,因此有 \(a_{n - 1}\) 个位串
  • 0 结尾的 n 位位串:易知倒数第二位一定是 1( 否则违反了 " 不存在 2 个连续的 0" 的条件 ),那么问题可以转化为在长度为 \(n-2\) 的位串末尾添加“10”,因此有 \(a_{n - 2}\) 个位串

综上,我们可以得到递推关系:\(a_n = a_{n - 1} + a_{n - 2}, n \ge 3\)

易知初始条件为:\(a_1 = 2, a_2 = 3\)

注:\(a_n = f_{n + 2}\)(斐波那契数)

解:分 2 种情况讨论:

  • \(n - 1\) 合法( 偶数个 0) 字符串末尾添加除了 0 以外的数字,因此有 \(9a_{n - 1}\) \(n\) 位合法字符串
  • \(n - 1\) 非法( 奇数个 0) 字符串末尾添加 0( 奇数变偶数,现在就合法了 ),因此有 \(10^{n - 1} - a_{n - 1}\) \(n\) 位合法字符串

综上,递推关系:\(a_n = 9a_{n - 1} + (10^{n - 1} - a_{n - 1}) = 8a_{n -1} + 10^{n - 1}\)

分析:

  • 观察到有一个乘法运算符一定在所有括号之外,因为它要执行最后的乘法运算
  • 那么,我们假设最后的乘号在 \(x_k\) \(x_{k+1}\) 之间,那么就有 \(C_kC_{n - k - 1}\) 种添加括号的方法 (\(C_k\) 代表运算符前面 \(k\) 个数添加括号的方法数,\(C_{n - k - 1}\) 代表运算符后面 \(n - k - 1\) 个数添加括号的方法数 )
  • 最后,可以得到递推关系
\[ \begin{align}C_n = & C_0C_{n - 1} + C_1C_{n - 2} + \dots + C_{n - 2}C_1 + C_{n - 1}C_0 \notag \\ = & \sum\limits_{k = 0}^{n - 1}C_kC_{n - k - 1} \notag \end{align} \]

其中初始条件为 \(C_0 = 1, C_1 = 1\)

  • 最后我们可以得到 \(C_n = \dfrac{C(2n, n)}{n + 1}\),且 \(C_n \sim \frac{4^n}{n^{3/2}\sqrt \pi}\)
  • 序列 \(\{C_n\}\) 被称为卡特兰数 (Catalan numbers),除了上述例子外,它可以解决很多的计数问题 ( 就我所知,它可以计算出栈的所有情况数 ( 入栈的元素是递增的 )。具体可戳这 )

Algorithms and Recurrence Relations⚓︎

在很多对算法及其复杂度的研究中,递推关系发挥着重要作用,比如:

  • 分治算法 (divide-and-conquer algorithm)
  • 动态规划 (dynamic programming):将问题递归拆分成更简单的、可重叠的子问题,然后通过子问题的解来计算整个问题的解,这个过程就需要用到递推关系

分支算法在 8.3 节会详细阐述,这里我们仅讨论动态规划,下面会通过一个典型🌰来解释其中的思想:

例题

之前的例子中,我们用贪心算法求得在同一大厅里安排讲座的最优解,现在稍微改变一下条件:对于每场讲座,新增变量 \(w_i\),表示每场讲座到座的学生数。

修改后的问题:有 \(n\) 场讲座,讲座 \(j\) \(t_j\) 时刻开始,在 \(e_j\) 时刻结束,会有 \(w_j\) 位学生到场。现在我们要安排讲座,使得所有安排上的讲座的到场学生总人数最大。

预先处理:

  • 我们用 \(T(j)\) 表示到场的最大人数,它是前 \(j\) 个讲座中得到的最优安排。因此 \(T(n)\) 表示到场的最大人数,它是从所有 \(n\) 个讲座中得到的最优安排
  • 首先,我们按照结束时间对所有讲座按升序排序,然后根据排好的顺序重新给 \(n\) 个讲座编号,使得 \(e_1 \le e_2 \le \dots \le e_n\)
  • 如果两场讲座能放在相同的安排中,也就是说,它们在时间上不重叠,称这两场讲座是可兼容的 (compatible)。我们用 \(p(j)\) 表示最大的整数 \(i\)\(i < j\) \(e_i \le s_j\);如果不存在这样的整数,则 \(p(j) = 0\)

具体问题:

分析:

  • 我们首先得到递推关系,若 \(j \le n\),则前 \(j\) 场讲座中的最优安排有两种可能:
    • 把讲座 \(j\) 纳入最优安排中:显然,讲座 \(p(j) + 1, \dots, j - 1\) 不会出现在最优安排中,因为它们与讲座 \(j\) 不兼容。而且,最优安排一定包含讲座 \(1, 2, \dots, p(j)\) 的某几个。因此加上讲座 \(j\),我们得到 \(T(j) = w_j + T(p(j))\)
    • 不把讲座 \(j\) 纳入最优安排中:此时来自讲座 \(1, 2, \dots, j\) 的最优安排等同于来自讲座 \(1, 2, \dots, j - 1\) 的最优安排,即 \(T(j) = T(j - 1)\)
  • 因此,我们得到递推关系:\(T(j) = \max(w_j + T(p(j)), T(j - 1))\)

下面,我们通过伪代码实现这一算法。注意,我们通过存储每个 \(T(j)\) 的值来提高算法效率,因为这样只需要计算一次 \(T(j)\) 即可,否则的话算法的最坏复杂度就是指数级的。我们将这一过程被称为记忆 (memorization)

注:上述算法只能算出最多的到场人数,没有得到最优安排中包含哪些讲座。为了确定哪些讲座被包含在最优安排中,我们需要利用这一事实:当且仅当 \(w_j + T(p(j)) \ge T(j - 1)\) 时,讲座 \(j\) 会在前 \(j\) 个讲座的最优安排中。具体算法这里就不写了 ( 这是道练习题 )

Supplements(from Exercises)⚓︎

  • \(S(m, n)\) 为从具有 \(m\) 个元素的集合映射到具有 \(n\) 个元素的集合的满射 (onto) 函数的所有可能情况数,它满足递推关系:\(S(m, n) = n^m - \sum\limits_{i = 1}^{n - 1}C(n, k)S(m, k)\),其中 \(m \le n\),且 \(n > 1\),初始条件为 \(S(m, 1) = 1\)
  • 约瑟夫问题 (Josephus problem):有 \(n\) 个人,编号为 \(1 \sim n\),站成一个圈。从 1 号开始报数,报到 x 的人淘汰,然后被淘汰的人的下一个人重新从 1 开始报数,直到只剩下一人,用 \(J(n)\) 表示幸存者的编号 ( wiki )
  • 解决 Reve's puzzle 的算法:Frame-Stewart algorithm
  • 逆向差分 (backward difference):通过一下方法递归定义:
    • 第一差分 (first difference)\(\nabla a_n = a_n - a_{n - 1}\)
    • \((k+1)\) 差分 (\((k+1)\)st difference)\(\nabla ^{k + 1}a_n = \nabla ^k a_n - \nabla ^k a_{n - 1}\) 差分方程:包含序列 \(\{a_n\}\)( 关于 \(a_n, \nabla a_n, \nabla ^2 a_n, \dots\)) 及其差分的方程

Solving Linear Recurrence Relations⚓︎

\(k\) 阶常系数线性齐次递推关系 (linear homogeneous recurrence relation of degree \(k\) with constant coefficient):用下列形式表示的递推关系 $$ a_n = c_1a_{n - 1} + c_2a_{n - 2} + \dots + c_ka_{n - k} $$ 其中\(c_1, c_2, \dots, c_k\)为实数,且\(c_k \ne 0\)

特征:

  • 线性 (linear):等号右边是序列中前几项与常系数之积的和
  • 齐次 (homogeneous):每项次数不超过 1
  • 常数 (constant):序列中的每一项系数都是常数,而非关于 \(n\) 的函数
  • k (degree)\(a_n\) 是由序列中的前k项表达的

通过强归纳法,满足这种递推关系的序列由递推关系和 \(k\) 个首条件 \(a_0 = C_0, a_1 = C_1, \dots, a_{k - 1} = C_{k - 1}\) 表示

Solving Linear Homogeneous Recurrence Relations with Constant Coefficients⚓︎

如何求解

  • 这种递推关系有形如 \(a_n = r^n\) 的解,\(r\) 为常数。如果这个是递推关系的解,则它的充要条件是 \(r^n = c_1r^{n - 1} + c_2r^{n - 2} + \dots + c_kr^{n - k}\)
  • 然后两边同除以 \(r^{n - k}\)(\(r \ne 0\)),将等号右边的东西全部移到左边,得到 $$ r^k - c_1r^{k - 1} - c_2r^{k - 2} - \dots - c_{k - 1} r - c_k = 0 $$ 因此,当且仅当\(r\)是上述方程的解时,\(a_n = r^n\)为递推关系的解。我们称上述方程为特征方程 (characteristic equation),称这个方程的解为特征根 (characteristic roots)

线性齐次递推关系的两个解的线性组合也是它的解。如果

\[ \begin{align}s_n & = c_1s_{n - 1} + c_2s_{n - 2} + \dots + c_ks_{n - k} \notag \\ t_n & = c_1t_{n - 1} + c_2t_{n - 2} + \dots + c_kt_{n - k}\notag \end{align} \]

那么

\[ \begin{align} b_1s_n + b_2t_n = & b_1(c_1s_{n - 1} + c_2s_{n - 2} + \dots + c_ks_{n - k}) + b_2(c_1t_{n - 1} + c_2t_{n - 2} + \dots + c_kt_{n - k}) \notag \\ = & c_1(b_1s_{n - 1} + b_2t_{n - 1}) + c_2(b_1s_{n - 2} + b_2t_{n - 2}) + \dots + c_k(b_1s_{n - k} + b_2t_{n - k}) \notag \end{align} \]

其中 \(b_1, b_2\) 为实数。那么 \(b_1s_n + b_2t_n\) 显然也为相同的线性齐次递推关系的解

先从 简单的 二阶情况分析:

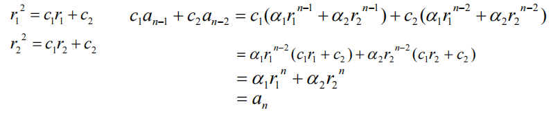
定理 1:令 \(c_1, c_2\) 为实数。假设 \(r^2 - c_1r - c_2 = 0\) 有两个不同的解 \(r_1, r_2\),那么当且仅当 \(a_n = \alpha_1r_1^n + \alpha_2r_2^n\)(\(n = 0,1,2, \dots\),且 \(\alpha_1, \alpha_2\) 为常数 ) 时,序列 \(\{a_n\}\) 是递推关系 \(a_n = c_1a_{n - 1} + c_2a_{n - 2}\) 的解

证明
  • 如果 \(r_1, r_2\) 为特征方程的根,且 \(\alpha_1, \alpha_2\) 为常数,那么序列 \(\{a_n\}\) 是递推关系 \(a_n = c_1a_{n - 1} + c_2a_{n - 2}\) 的解

  • 如果序列 \(\{a_n\}\) 是解,那么对于某些常数 \(\alpha_1, \alpha_2\)\(a_n = \alpha_1r_1^n + \alpha_2r_2^n\)

通过上述证明,我们已经知道 \(\{a_n\}\) \(\{\alpha_1r_1^n + \alpha_2r_2^n\}\) 都是递推关系的解,且当 \(n = 0\) \(n = 1\) 时满足首条件,因为对于有 2 个首条件的 2 阶线性齐次递推关系有唯一解,因此 \(a_n = \alpha_1r_1^n + \alpha_2r_2^n\)

注:我们有可能会得到复数根,但这不在我们的讨论范围内

🌰:斐波那契数公式


定理 2 用来处理重根的情况

定理 2:令 \(c_1, c_2\) 为实数,且 \(c_2 \ne 0\)。假设 \(r^2 - c_1r - c_2 = 0\) 只有一个根 \(r_0\),那么当且仅当 \(a_n = \alpha_1r_0^n + \alpha_2nr_0^n\)(\(n = 0,1,2, \dots\),且 \(\alpha_1, \alpha_2\) 为常数 ) 时,序列 \(\{a_n\}\) 是递推关系 \(a_n = c_1a_{n - 1} + c_2a_{n - 2}\) 的解

🌰


讨论更一般的情况:

定理 3:令 \(c_1, c_2, \dots, c_k\) 为实数。假设特征方程

\[r^k - c_1r^{k - 1} - c_2r^{k - 2} - \dots - c_{k - 1}r - c_k = 0\]

\(k\) 个不同的根 \(r_1, r_2, \dots, r_k\),那么当且仅当

\[ a_n = \alpha_1r_1^n + \alpha_2r_2^n + \dots + \alpha_kr_k^n \]

其中 \(n = 0,1,2, \dots\),且 \(\alpha_1, \alpha_2, \dots, \alpha_k\) 为常数,序列 \(\{a_n\}\) 是递推关系

\[a_n = c_1a_{n - 1} + c_2a_{n - 2} + \dots + c_ka_{n - k}\]

的解


定理 4:令 \(c_1, c_2, \dots, c_k\) 为实数。假设特征方程

\[r^k - c_1r^{k - 1} - c_2r^{k - 2} - \dots - c_{k - 1}r - c_k = 0\]

\(t\) 个不同的根 \(r_1, r_2, \dots, r_t\),重数分别为 \(m_1, m_2, \dots, m_t\),满足 \(m_i \ge 1\)(\(i = 1, 2, \dots, t\)),且 \(m_1 + m_2 + \dots + m_t = k\),那么当且仅当

\[ \begin{align}a_n = & (\alpha_{1, 0} + \alpha_{1, 1}n + \dots + \alpha_{1, m_1 - 1}n^{m_1 - 1})r_1^n \notag \\ & + (\alpha_{2, 0} + \alpha_{2, 1}n + \dots + \alpha_{2, m_2 - 1}n^{m_2 - 1})r_2^n \notag \\ & + \dots + (\alpha_{t, 0} + \alpha_{t, 1}n + \dots + \alpha_{t, m_t - 1}n^{m_t - 1})r_t^n \notag \end{align} \]

其中 \(n = 0,1,2, \dots\),且 \(\alpha_{i, j}\)(\(1 \le i \le t, 0 \le j \le m_i - 1\)) 为常数,序列 \(\{a_n\}\) 是递推关系

\[a_n = c_1a_{n - 1} + c_2a_{n - 2} + \dots + c_ka_{n - k}\]

的解

Linear Nonhomogeneous Recurrence Relations with Constant Coefficients⚓︎

常系数线性非齐次递推关系 (linear nonhomogeneous recurrence relation with constant coefficient):用下列形式表示的递推关系 $$ a_n = c_1a_{n - 1} + c_2a_{n - 2} + \dots + c_ka_{n - k} + F(n) $$ 其中\(c_1, c_2, \dots, c_k\)为实数,\(F(n)\)是不等于0,且仅由\(n\)决定的函数

递推关系 $$ a_n = c_1a_{n - 1} + c_2a_{n - 2} + \dots + c_ka_{n - k} $$ 被称为关联齐次递推关系 (associated homogeneous recurrence relation)


如何求解?

定理 5:如果 \(\{a_n^{(p)}\}\) 是常系数线性非齐次递推关系的特殊解 (particular solution),那么所有的解具有 \(\{a_n^{(p)} + a_n^{(h)}\}\) 的形式,其中 \(\{a_n^{(h)}\}\) 是关联齐次递推关系的解

证明

虽然没有通法来找到关于任意函数 \(F(n)\) 的解,但是对于某些类型的函数,比如多项式或者常数幂,是有办法可以解决的,定理 6 给出了方法:

定理 6:假设 \(\{a_n\}\) 满足线性非齐次递推关系 $$ a_n = c_1a_{n - 1} + c_2a_{n - 2} + \dots + c_ka_{n - k} + F(n) $$

其中 \(c_1, c_2, \dots, c_k\) 为实数,且

\[F(n) = (b_tn^t + b_{t - 1}n^{t - 1} + \dots + b_1n + b_0)s^n\]

其中 \(b_0, b_1, \dots , b_t\) \(s\) 为实数。

  • 如果 \(s\) 不是关联齐次递推关系的特征方程的根,那么就有以下形式的特殊解:
\[ (p_tn^t + p_{t-1}n^{t-1} + \dots + p_1n + p_0)s^n \]
  • 如果 \(s\) 是特征方程的根,且重数为 \(m\),那么就有以下形式的特殊解:
\[ n^m(p_tn^t + p_{t-1}n^{t-1} + \dots + p_1n + p_0)s^n \]
例题

Supplements(from Exercises)⚓︎

  • 斐波那契数 \(f_{n+1} = C(n, 0) + C(n - 1. 1)+ \dots + C(n - k, k)\),其中 \(n\) 为正整数,且 \(k = \lfloor \dfrac{n}{2} \rfloor\)

Divide-and-Conquer Algorithms and Recurrence Relations⚓︎

Generating Functions⚓︎

定义:实数序列 \(a_0, a_1, \dots, a_k, \dots\) 生成函数 (generating functions)是一个无限级数: $$ G(x) = a_0 + a_1x + \dots + a_kx^k + \dots = \sum\limits_{k = 0}^\infty a_kx^k $$

注:这种形式的生成函数有时称作普通生成函数 (ordinary generating function),用于区分其他形式的生成函数

定义有限实数序列 \(a_0, a_1, \dots, a_n\) 的生成函数:令 \(a_{n+1} = 0, a_{n+2} = 0\),以此类推,这样将无限序列缩小至有限序列。因此这种无限序列 \(\{a_n\}\) 的生成函数 \(G(x)\) 就变成一个 \(n\)阶多项式(\(a_jx^j = 0, j > n\)) $$ G(x) = a_0 + a_1x + \dots + a_nx^n $$ 🌰

Useful Facts About Power Series⚓︎

定理 1:令 \(f(x)=\sum\limits_{k=0}^{\infty}a_kx^k,\ g(x)=\sum\limits_{k=0}^{\infty}b_kx^k\),那么

\[ f(x) + g(x) = \sum\limits_{k=0}^{\infty}(a_k+b_k)x^k \quad f(x)g(x) = \sum\limits_{k=0}^\infty (\sum\limits_{j=0}^ka_jb_{k-j})x^k \]

注:定理 1 仅在幂级数在区间内收敛 (converge)时有效 ( 本节中所有级数均认为是收敛的 )。然而生成函数的理论并不局限于这种级数,在那样的情况下级数就不一定收敛了。定理 1 可以作为生成函数的加法和乘法的定义

例题

  • 利用幂级数乘法的特征
  • 答案可作为结论使用

( 摘自期中卷 )

定义:令 \(u\) 实数\(k\) 为非负整数。那么扩展二项式系数 (extended binomial coefficient)\(\left( \begin{array}{cccc}u \\ k\end{array}\right)\) 可定义为:

\[ \left( \begin{array}{cccc}u \\ k\end{array}\right) = \begin{cases}\dfrac{u(u-1)\dots(u-k+1)}{k!} & \text{if }k > 0 \\ 1 & \text{if } k = 0\end{cases} \]

注:如果二项式系数的首参数是负整数,那么扩展二项式系数可用一般二项式系数表示:\(\left( \begin{array}{cccc} -n \\ r\end{array}\right) = (-1)^r\left( \begin{array}{cccc} n + r - 1 \\ r\end{array}\right) = (-1)^rC(n+r-1, r)\)

定理 2——扩展二项式定理 (THE EXTENDED BINOMIAL THEOREM):令 \(x\) 为实数且 \(|x| < 1\)\(u\) 为实数,那么

\[ (1+x)^u = \sum\limits_{k = 0}^\infty \left( \begin{array}{cccc} u \\ k\end{array}\right)x^k \]

注:

  • 定理 2 需要用麦克劳林级数证明
  • \(u\) 为正整数,该定理就降级为一般的二项式定理(注意:当 \(k > u\) 时,\(\left( \begin{array}{cccc} u \\ k\end{array}\right) = 0\))

🌟常用的生成函数表 ( vgf 也用得到 )

注:上面十三个生成函数中,重点记忆标⭐的核心公式,其他公式都是在这些核心公式的基础上推出来的

Counting Problems and Generating Functions⚓︎

生成函数可用来解决 \(n\) 元素集合中的可重 \(r\) 组合问题,比如这种形式: $$ e_1 + e_2 + \dots + e_n = C $$ 其中\(C\)是常数,\(e_i\)为非负整数且可能有一些具体限制。

🌰

利用生成函数计算 \(n\) 元素集合中的可重 \(r\) 组合的个数

易知生成函数 \(G(x) = (1 + x + x^2 + \dots)^n = \dfrac{1}{(1-x)^n} = (1-x)^{-n}(|x| < 1)\)

又因为 \((1-x)^{-n} = (1 + (-x))^{-n} = \sum\limits_{r = 0}^\infty \left( \begin{array}{cccc} -n \\ r\end{array}\right)(-x)^r\)( 扩展二项式定理 )

\(\left( \begin{array}{cccc} -n \\ r\end{array}\right)(-1)^r = (-1)^rC(n+r-1, r) \cdot (-1)^r = C(n+r-1, r)\)( 见扩展二项式系数下面的注 )

所以结果为 \(C(n + r - 1, r)\),与第 6 章的结论相同

🌰:拓展 ( 答案可作为结论记忆 )

例题

注:要理解为什么是否考虑顺序会产生不同的生成函数

Using Generating Functions to Solve Recurrence Relations⚓︎

直接看这个🌰,就能理解怎么用生成函数求解递推关系的问题

注意等号两边乘 \(x^n\) 后再求和时的起始项问题 (Solution 的第 3 ):若递推关系中的最小项为 \(a_{n - k}\),则起始项从 \(n = k\) 开始,且一定要一致

Proving Identities via Generating Functions⚓︎

例题

Supplements(from Exercises)⚓︎

  • 指数生成函数 (exponential generating functions)\(\sum\limits_{n=0}^{\infty}\dfrac{a_n}{n!}x^n\)
  • 概率生成函数 (probability generating functions)\(G_X(x) = \sum\limits_{k = 0}^\infty p(X(s) = k)x^k\)

Inclusion-Exclusion⚓︎

The Principle of Inclusion-Exclusion⚓︎

在之前,我们已经了解计算两个集合 \(A , B\) 的并集的元素个数公式: $$ |A \cup B| = |A| + |B| - |A \cap B| $$ 这个公式被称为容斥原理 (the principle of inclusion-exclusion)。现在,我们将它扩展至三个集合的公式: $$ |A \cup B \cup C| = |A| + |B| + |C| - |A \cap B| - |A \cap C| - |B \cap C| + |A \cap B \cap C| $$ 推导过程可以用Venn图清楚地展现:

最后,我们将容斥原理运用于 \(n\) 个集合,于是有了下面的定理:

定理 1——容斥原理 (THE PRINCIPLE OF INCLUSIVE-EXCLUSIVE):令 \(A_1, A_2, \dots, A_n\) 为有限集合,那么:

\[ \begin{align} |A_1 \cup A_2 \cup \dots \cup A_n| = & \sum\limits_{1 \le i \le n} |A_i| - \sum\limits_{1 \le i < j \le n} |A_i \cap A_j| \notag \\ + & \sum\limits_{1 \le i < j < k \le n} |A_i \cap A_j \cap A_k| - \dots + (-1)^{n+1}|A_1 \cap A_2 \cap \dots \cap A_n| \notag \end{align} \]
证明
  • 我们要证明并集中的每个元素仅被算了一遍。假设 \(a\) \(A_1, A_2, \dots, A_n\) \(r\) 个集合的共有元素 (\(1 \le r \le n\))
  • \(\sum|A_i|\) 中,这个元素被算了 \(C(r, 1)\) 次。在 \(\sum|A_i \cap A_j|\) 中,这个元素被算了 \(C(r, 2)\) 次。更一般的,在 \(m\) 个集合的并集之和中,这个元素被算了 \(C(r, m)\)
  • 通过等号右侧公式,我们可以计算这个元素总共被算了 \(C(r, 1) - C(r, 2) + C(r, 3) - \dots + (-1)^{r+1}C(r, r)\)
  • 6.4 节引理 2 知,\(\sum\limits_{k = 0}^n(-1)^k\left( \begin{array}{cccc}n \\ k\end{array}\right) = 0\) ,所以 \(\sum\limits_{k = 1}^n(-1)^{k+1}C(r, k) = 1\) ,这就说明该元素仅被算了一遍,这就证明了上述定理的正确性

注:对于 \(n\) 个集合的容斥原理,等号右边有 \(2^n-1\)

Applications of Inclusion-Exclusion⚓︎

An Alternative Form of Inclusion-Exclusion⚓︎

容斥原理的另一种可替换的形式:求解集合中不满足所有 \(n\) 条性质 \(P_1, P_2, \dots, P_n\) 的元素个数

分析: 令\(A_i\)表示具有满足性质\(P_i\)的元素的子集。具有所有\(P_{i_1}, P_{i_2}, \dots, P_{i_k}\)的性质的元素个数记为\(N(P_{i_1}, P_{i_2}, \dots, P_{i_k})\),所以 $$ |A_{i_1} \cap A_{i_2} \cap \dots \cap A_{i_k}| = N(P_{i_1}, P_{i_2}, \dots, P_{i_k}) $$ 那么我们要求的就是\(N(P_1' P_2' \dots P_n')\),则 $$ N(P_1' P_2' \dots P_n') = N - |A_1 \cup A_2 \cup \dots \cup A_n| $$ 由容斥原理,我们可以得到:

\[ \begin{align} N(P_1' P_2' \dots P_n') & = N - N(P_1P_2 \dots P_n) \notag \\ & = N - \sum\limits_{1 \le i \le n} N(P_i) + \sum\limits_{1 \le i < j \le n} N(P_iP_j) \notag \\ & - \sum\limits_{1 \le i < j < k \le n} N(P_iP_jP_k) + \dots + (-1)^{n}N(P_1P_2 \dots P_n) \notag \end{align} \]

来看个🌰(容斥原理 + 可重 r 组合)

The Sieve of Eratosthenes⚓︎

回顾:埃氏筛

用到上面刚学的方法,我们可以求得 100 以内的质数个数为 $$ 4 + N(P_1'P_2'P_3'P_4') $$ 其中'4'代表小于\(\sqrt{10}\)的4个质数2,3,5,7,\(P_1\)代表能被2整除的数,\(P_2\)代表能被3整除的数,\(P_3\)代表能被5整除的数,\(P_4\)代表能被7整除的数

后续过程:

The Number of Onto Functions⚓︎

定理 1:令 \(m, n\) 为正整数,且 \(m \ge n\),那么就有 $$ n^m - C(n, 1)(n - 1)^m + C(n, 2)(n - 2)^m - \dots + (-1)^{n - 1}C(n, n - 1)\cdot 1^m $$ 个从有\(m\)个元素的集合映射到有\(n\)个元素的集合的满射函数

证明
  • \(A = \{a_1, a_2, \dots, a_m\}, B = \{b_1, b_2, \dots, b_n\}\)\(P_i\) 表示 \(b_i\) 不在函数的范围内,则我们要求的就是 \(N(P_1'P_2' \dots P_n')\)(\(P_1'P_2' \dots P_n'\) 表示 \(B\) 中所有元素都在函数范围内,即满射)
  • 容易得到
\[\begin{align} N = n^m, \ \sum\limits_{1 \le i \le n}N(P_i) = C(n, 1)(n - 1)^m \notag \\ \sum\limits_{1 \le i < j \le n}N(P_iP_j) = C(n, 2)(n - 2)^m, \notag \\ \dots, \notag \\ (-1)^nN(P_1P_2\dots P_n) = (-1)^nN(P_1P_2 \dots P_n) = 0 \notag \end{align} \]

于是得到上述定理

从有 \(m\) 个元素的集合映射到有 \(n\) 个元素的集合的满射函数,对应于将 \(m\) 个可区分的物体放入 \(n\) 个不可区分的箱子,且保证每个箱子非空的问题 ( 传送门 )

因此,满射函数的个数 = \(n!S(m, n)\),其中 \(S(m, n)\) 第二类斯特林数

Derangements⚓︎

错排问题 (derangement):使得所有物体均不在它原来的位置上的排列,用 \(D_n\) 表示 \(n\) 个物体的错排个数

定理 2:集合中 \(n\) 个元素的错排个数为 $$ D_n = n![1 - \dfrac{1}{1!} + \dfrac{1}{2!} - \dfrac{1}{3!} + \dots + (-1)^n\dfrac{1}{n!}] $$

证明

\(P_i\) 表示满足将元素 \(i\) 固定在原位的排列,那么 \(n\) 个元素的错排个数就是 $$ D_n = N(P_1'P_2' \dots P_n') $$ 使用本节开篇得到的公式,可以得到

\[ \begin{align} D_n= & N - \sum\limits_{i} N(P_i) + \sum\limits_{i < j} N(P_iP_j) \notag \\ - & \sum\limits_{i < j < k} N(P_iP_jP_k) + \dots + (-1)^{n}N(P_1P_2 \dots P_n) \notag \end{align} \]
  • \(N = n!\),对 \(n\) 个元素的全排列
  • \(N(P_i) = (n - 1)!\),固定 1 个元素,对剩余 \(n - 1\) 个元素进行全排列
  • 以此类推,\(N(P_{i_1} P_{i_2} \dots P_{i_m}) = (n - m)!\),固定 \(m\) 个元素,对剩余 \(n - m\) 个元素进行全排列

又因为从 \(n\) 个元素中选择 \(m\) 个元素固定共有 \(C(n, m)\) 中可能的情况,所以 $$ \sum\limits_{1 \le i_1 < i_2 < \dots i_m \le n}N(P_{i_1} P_{i_2} \dots P_{i_m}) = C(n, m)(n - m)! $$ 将所有情况汇总,得到

\[ \begin{align} D_n = & n! - C(n, 1)(n - 1)! + C(n , 2)(n - 2)! - \dots + (-1)^nC(n, n)(n - n)! \notag \\ = & n! - \dfrac{n!}{1!(n - 1)!}(n - 1)! + \dfrac{n!}{2!(n - 2)!}(n - 2)! - \dots + (-1)^n\dfrac{n!}{n!0!}0! \notag \\ = & n![1 - \dfrac{1}{1!} + \dfrac{1}{2!} - \dfrac{1}{3!} + \dots + (-1)^n\dfrac{1}{n!}] \notag \end{align} \]

错排的概率为 \(\dfrac{D_n}{n!} = 1 - \dfrac{1}{1!} + \dfrac{1}{2!} - \dots + (-1)^n \dfrac{1}{n!}\)

因为 \(e^x = \sum\limits_{j = 0}^\infty \dfrac{x^j}{j!}\),所以可以推出 \(e^{-1} = \dfrac{D_n}{n!} \approx 0.368\)

Supplements(from Exercises)⚓︎

关于错排数 \(D_n\) 的递推关系式:

  • \(D_n = (n - 1)(D_{n - 1} + D_{n - 2}),\ n \ge 2\)
  • \(D_n = nD_{n - 1} + (-1)^n,\ n \ge 1\)

评论区

如果大家有什么问题或想法,欢迎在下方留言~